Suppr超能文献

磁共振脑池造影成像发现与钆进入蛛网膜下腔的渗漏有关。

Magnetic resonance cisternography imaging findings related to the leakage of Gadolinium into the subarachnoid space.

机构信息

Department of Radiology, Nagoya University Graduate School of Medicine, 65 Tsurumai-cho, Showa-ku, Nagoya, 466-8550, Japan.

Department of Otorhinolaryngology, Nagoya University Graduate School of Medicine, 65 Tsurumai-cho, Showa-ku, Nagoya, 466-8550, Japan.

出版信息

Jpn J Radiol. 2021 Oct;39(10):927-937. doi: 10.1007/s11604-021-01137-1. Epub 2021 May 29.

Abstract

PURPOSE

To identify magnetic resonance cisternography (MRC) imaging findings related to Gadolinium-based contrast agent (GBCA) leakage into the subarachnoid space.

MATERIALS AND METHODS

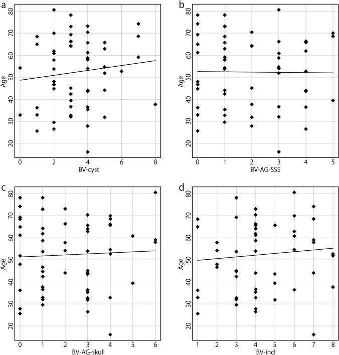
The number of voxels of GBCA leakage (V-leak) on 3D-real inversion recovery images was measured in 56 patients scanned 4 h post-intravenous GBCA injection. Bridging veins (BVs) were identified on MRC. The numbers of BVs with surrounding cystic structures (BV-cyst), with arachnoid granulations protruding into the superior sagittal sinus (BV-AG-SSS) and the skull (BV-AG-skull), and including any of these factors (BV-incl) were recorded. Correlations between these variables and V-leak were examined based on the Spearman's rank correlation coefficient. Receiver-operating characteristic (ROC) curves were generated to investigate the predictive performance of GBCA leakage.

RESULTS

V-leak and the number of BV-incl were strongly correlated (r = 0.609, p < 0.0001). The numbers of BV-cyst and BV-AG-skull had weaker correlations with V-leak (r = 0.364, p = 0.006; r = 0.311, p = 0.020, respectively). The number of BV-AG-SSS was not correlated with V-leak. The ROC curve for contrast leakage exceeding 1000 voxels and the number of BV-incl had moderate accuracy, with an area under the curve of 0.871.

CONCLUSION

The number of BV-incl may be a predictor of GBCA leakage and a biomarker for waste drainage function without using GBCA.

摘要

目的

确定磁共振脑池造影(MRC)成像与钆基对比剂(GBCA)漏入蛛网膜下腔相关的发现。

材料与方法

对 56 例患者静脉注射 GBCA 后 4 小时行 3D 真实反转恢复图像,测量 GBCA 漏出(V-leak)的体素数。在 MRC 上识别桥静脉(BVs)。记录有周围囊性结构(BV-cyst)、蛛网膜颗粒突入上矢状窦(BV-AG-SSS)和颅骨(BV-AG-skull)的 BVs 数量,以及包含这些因素之一的 BVs 数量(BV-incl)。基于 Spearman 秩相关系数,检查这些变量与 V-leak 之间的相关性。生成受试者工作特征(ROC)曲线,以研究 GBCA 渗漏的预测性能。

结果

V-leak 与 BV-incl 的数量呈强相关(r=0.609,p<0.0001)。BV-cyst 和 BV-AG-skull 的数量与 V-leak 的相关性较弱(r=0.364,p=0.006;r=0.311,p=0.020)。BV-AG-SSS 的数量与 V-leak 无相关性。对比剂漏出超过 1000 个体素和 BV-incl 的数量的 ROC 曲线具有中等准确性,曲线下面积为 0.871。

结论

BV-incl 的数量可能是 GBCA 漏出的预测因子,也是无需使用 GBCA 即可评估废物引流功能的生物标志物。

https://cdn.ncbi.nlm.nih.gov/pmc/blobs/9e95/8490263/20a0f55b53be/11604_2021_1137_Fig1_HTML.jpg

文献AI研究员

20分钟写一篇综述,助力文献阅读效率提升50倍。

立即体验

用中文搜PubMed

大模型驱动的PubMed中文搜索引擎

马上搜索

文档翻译

学术文献翻译模型,支持多种主流文档格式。

立即体验