Laboratorio de Genética, Escuela Nacional de Ciencias Biológicas, Instituto Politécnico Nacional, Av. Wilfrido Massieu s/n. Zacatenco. Gustavo A. Madero, Ciudad de Mexico 07738, Mexico.
Laboratorio de Compuestos Bioactivos, Departamento de Ingeniería Bioquímica, Escuela Nacional de Ciencias Biológicas, Instituto Politécnico Nacional, Av. Wilfrido Massieu s/n. Zacatenco. Gustavo A. Madero, Ciudad de Mexico 07738, Mexico.
Nutrients. 2021 May 21;13(6):1750. doi: 10.3390/nu13061750.
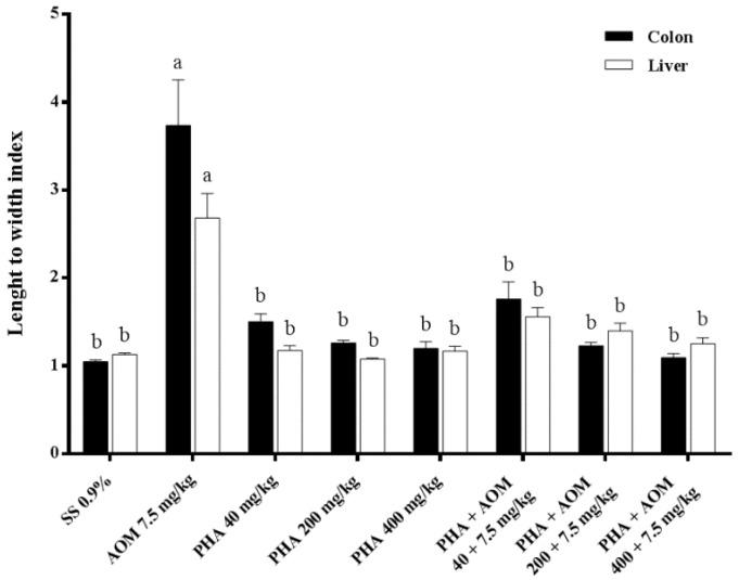
The present report was designed to determine the antioxidant and antigenotoxic effects of phaseolin (isolated from ) against mouse colon and liver damage induced by azoxymethane (AOM) and its colon chemopreventive effect. Eight groups with 12 mice each were utilized for an eight-week experiment: the control group was intragastrically (ig) administered 0.9% saline solution; the positive control group was intraperitoneally (ip) injected with 7.5 mg/kg AOM twice a week (weeks three and four of the experiment); three groups were ig administered each day with phaseolin (40, 200, and 400 mg/kg); and three groups were ig administered phaseolin daily (40, 200, and 400 mg/kg) plus 7.5 mg/kg AOM twice a week in weeks three and four of the experiment. The results showed that phaseolin did not produce oxidative stress, DNA damage, or aberrant crypts; in contrast, 100% inhibition of lipoperoxidation, protein oxidation, and nitrites induction generated by AOM was found in both organs, and DPPH radical capture occurred. The two highest phaseolin doses reduced DNA damage induced by AOM in both organs by more than 90% and reduced the AOM-induced aberrant crypts by 84%. Therefore, our study demonstrated the strong in vivo antioxidant, antigenotoxic, and chemopreventive potential of phaseolin.
本报告旨在确定菜豆球蛋白(从 中分离得到)对氧化氮甲烷(AOM)诱导的小鼠结肠和肝脏损伤的抗氧化和抗原毒作用及其对结肠的化学预防作用。利用 8 组共 12 只小鼠进行为期 8 周的实验:对照组经胃内给予 0.9%生理盐水;阳性对照组经腹腔注射 7.5mg/kg AOM,每周两次(实验的第三和第四周);三组分别每天经胃内给予菜豆球蛋白(40、200 和 400mg/kg);三组每天经胃内给予菜豆球蛋白(40、200 和 400mg/kg)并在实验的第三和第四周每周两次给予 7.5mg/kg AOM。结果表明,菜豆球蛋白不会产生氧化应激、DNA 损伤或异常隐窝;相反,在两个器官中发现 AOM 诱导的脂过氧化、蛋白质氧化和亚硝酸盐诱导均被 100%抑制,且 DPPH 自由基捕获发生。两个最高剂量的菜豆球蛋白将 AOM 在两个器官中诱导的 DNA 损伤减少了 90%以上,并将 AOM 诱导的异常隐窝减少了 84%。因此,我们的研究表明菜豆球蛋白具有很强的体内抗氧化、抗原毒和化学预防潜力。