Suppr超能文献

机械刺激会在小麦中引发与年龄和剂量相关的生长、发育和籽粒特征的改变。

Mechanical stimulation in wheat triggers age- and dose-dependent alterations in growth, development and grain characteristics.

机构信息

Institute of Biological, Environmental and Rural Sciences (IBERS), Aberystwyth University, Plas Gogerddan, Aberystwyth, UK.

出版信息

Ann Bot. 2021 Sep 7;128(5):589-603. doi: 10.1093/aob/mcab070.

Abstract

BACKGROUND AND AIMS

Wheat crops are exposed to a range of mechanical stimulations in their natural environment, yet we know very little about their response to such conditions. The aim of this study was to better understand the effect of mechanical stimulation on wheat growth and development, stem mechanical properties and grain measures. We focused on the following questions: (1) Does plant age affect the response to mechanical stimulation? (2) Is there a minimum threshold for the perception of mechanical stimuli? (3) Is the effect of manual brushing different to natural wind stimulation?

METHODS

For age- and dose-response experiments, wheat plants were grown under controlled glasshouse conditions with brushing treatments applied using a purpose-built rig. The results of the controlled experiments are compared with those from an outside experiment where wheat plants were exposed to natural wind, with or without additional brushing. Detailed phenotypic measurements were conducted and treatment effects on grain characteristics were determined using micro-computed tomography imaging.

KEY RESULTS

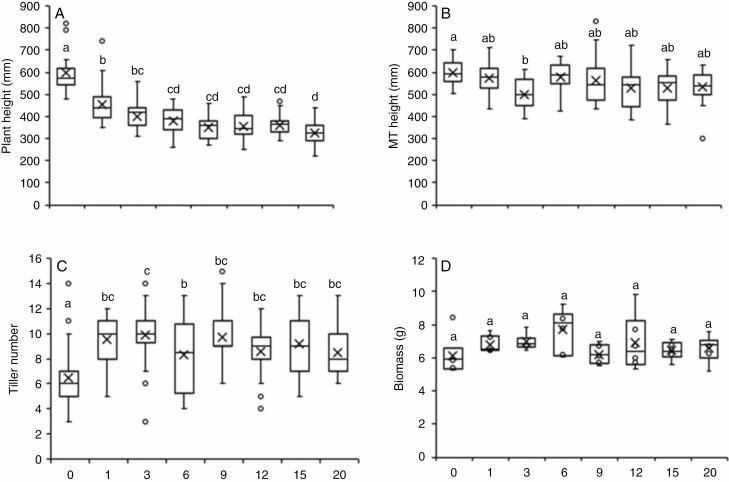
Two-week-old wheat plants were particularly sensitive to mechanical stimulation by controlled brushing treatments. Amongst others, plants exhibited a large reduction in height and grain yield, and an increase in tillers, above-ground biomass and stiffness of stem segments. Plants responded significantly to doses as small as one daily brushstroke. Outdoor experiments by and large confirmed results from controlled environment experiments.

CONCLUSIONS

The morphological and developmental response to mechanical brushing treatment, in relation to vegetative above-ground biomass and grain yield, is dependent on plant age as well as the dose of the treatments. This study shows that mechanical stimulation of wheat impacts on a multitude of agriculturally relevant traits and provides a much needed advancement of our understanding of wheat thigmomorphogenesis and the potential applications of mechanical conditioning to control relevant traits.

摘要

背景与目的

在自然环境中,小麦作物会受到一系列机械刺激,但我们对其对此类条件的反应知之甚少。本研究旨在更好地了解机械刺激对小麦生长发育、茎部机械特性和谷物指标的影响。我们主要关注以下问题:(1)植物年龄会影响对机械刺激的反应吗?(2)机械刺激的感知是否存在最小阈值?(3)人工刷拭与自然风刺激的效果是否不同?

方法

对于年龄和剂量反应实验,小麦植株在带有特制设备的温室中生长,进行刷拭处理。将受控实验的结果与室外实验进行比较,室外实验中,小麦植株暴露在自然风中,或同时进行额外的刷拭。进行了详细的表型测量,并使用微计算机断层扫描成像确定了处理对谷物特征的影响。

主要结果

两周大的小麦植株对受控刷拭处理特别敏感。除其他外,植株的高度和谷物产量大幅降低,分蘖数增加,地上生物量和茎段硬度增加。植株对每天一次的刷拭处理就有显著反应。室外实验基本上证实了受控环境实验的结果。

结论

与地上营养生物量和谷物产量有关的对机械刷拭处理的形态和发育反应取决于植物年龄以及处理的剂量。本研究表明,机械刺激小麦会影响许多与农业相关的性状,并为我们对小麦向触性发育和机械处理控制相关性状的潜在应用的理解提供了急需的进展。

https://cdn.ncbi.nlm.nih.gov/pmc/blobs/7c41/8422892/21dd11bfb801/mcab070f0001.jpg

文献AI研究员

20分钟写一篇综述,助力文献阅读效率提升50倍。

立即体验

用中文搜PubMed

大模型驱动的PubMed中文搜索引擎

马上搜索

文档翻译

学术文献翻译模型,支持多种主流文档格式。

立即体验