Suppr超能文献

两种对芳基醇具有高活性的镰刀菌铜自由基氧化酶。

Two Fusarium copper radical oxidases with high activity on aryl alcohols.

作者信息

Cleveland Maria, Lafond Mickael, Xia Fan Roderick, Chung Ryan, Mulyk Paul, Hein Jason E, Brumer Harry

机构信息

Michael Smith Laboratories, University of British Columbia, 2185 East Mall, Vancouver, BC, V6T 1Z4, Canada.

Department of Chemistry, University of British Columbia, 2036 Main Mall, Vancouver, BC, V6T 1Z1, Canada.

出版信息

Biotechnol Biofuels. 2021 Jun 16;14(1):138. doi: 10.1186/s13068-021-01984-0.

Abstract

BACKGROUND

Biomass valorization has been suggested as a sustainable alternative to petroleum-based energy and commodities. In this context, the copper radical oxidases (CROs) from Auxiliary Activity Family 5/Subfamily 2 (AA5_2) are attractive biocatalysts for the selective oxidation of primary alcohols to aldehydes. Originally defined by the archetypal galactose 6-oxidase from Fusarium graminearum, fungal AA5_2 members have recently been shown to comprise a wide range of specificities for aromatic, aliphatic and furan-based alcohols. This suggests a broader substrate scope of native CROs for applications. However, only 10% of the annotated AA5_2 members have been characterized to date.

RESULTS

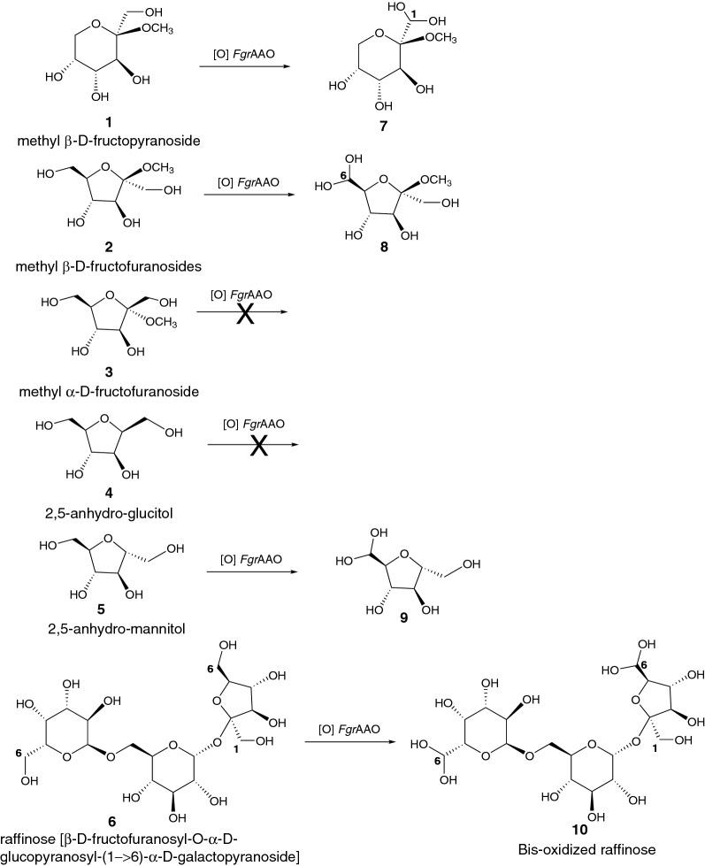
Here, we define two homologues from the filamentous fungi Fusarium graminearum and F. oxysporum as predominant aryl alcohol oxidases (AAOs) through recombinant production in Pichia pastoris, detailed kinetic characterization, and enzyme product analysis. Despite possessing generally similar active-site architectures to the archetypal FgrGalOx, FgrAAO and FoxAAO have weak activity on carbohydrates, but instead efficiently oxidize specific aryl alcohols. Notably, both FgrAAO and FoxAAO oxidize hydroxymethyl furfural (HMF) directly to 5-formyl-2-furoic acid (FFCA), and desymmetrize the bioproduct glycerol to the uncommon L-isomer of glyceraldehyde.

CONCLUSIONS

This work expands understanding of the catalytic diversity of CRO from AA5_2 to include unique representatives from Fusarium species that depart from the well-known galactose 6-oxidase activity of this family. Detailed enzymological analysis highlights the potential biotechnological applications of these orthologs in the production of renewable plastic polymer precursors and other chemicals.

摘要

背景

生物质转化被认为是一种可持续的替代石油基能源和商品的方法。在这种背景下,辅助活性家族5/亚家族2(AA5_2)中的铜自由基氧化酶(CROs)是将伯醇选择性氧化为醛的有吸引力的生物催化剂。最初由禾谷镰刀菌的原型半乳糖6-氧化酶定义,真菌AA5_2成员最近被证明对芳香族、脂肪族和呋喃基醇具有广泛的特异性。这表明天然CROs在应用中的底物范围更广。然而,迄今为止,只有10%的注释AA5_2成员得到了表征。

结果

在这里,我们通过在毕赤酵母中重组表达、详细的动力学表征和酶产物分析,将丝状真菌禾谷镰刀菌和尖孢镰刀菌的两个同源物定义为主要的芳基醇氧化酶(AAOs)。尽管FgrAAO和FoxAAO的活性位点结构与原型FgrGalOx总体相似,但它们对碳水化合物的活性较弱,而是能有效地氧化特定的芳基醇。值得注意的是,FgrAAO和FoxAAO都能将羟甲基糠醛(HMF)直接氧化为5-甲酰基-2-呋喃甲酸(FFCA),并将生物产物甘油不对称化为罕见的L-甘油醛异构体。

结论

这项工作扩展了对AA5_2中CRO催化多样性的理解,包括来自镰刀菌属的独特代表,它们不同于该家族中众所周知的半乳糖6-氧化酶活性。详细的酶学分析突出了这些直系同源物在可再生塑料聚合物前体和其他化学品生产中的潜在生物技术应用。

https://cdn.ncbi.nlm.nih.gov/pmc/blobs/64d8/8207647/d3f741000b92/13068_2021_1984_Fig1_HTML.jpg

文献AI研究员

20分钟写一篇综述,助力文献阅读效率提升50倍。

立即体验

用中文搜PubMed

大模型驱动的PubMed中文搜索引擎

马上搜索

文档翻译

学术文献翻译模型,支持多种主流文档格式。

立即体验