Suppr超能文献

一种使用负荷-速度曲线预测1RM的新方法:模型比较

A Novel Approach to 1RM Prediction Using the Load-Velocity Profile: A Comparison of Models.

作者信息

Thompson Steve W, Rogerson David, Ruddock Alan, Greig Leon, Dorrell Harry F, Barnes Andrew

机构信息

Academy of Sport and Physical Activity, Sheffield Hallam University, Sheffield S10 2BP, UK.

School of Health Sciences, Robert Gordon University, Aberdeen AB10 7QE, UK.

出版信息

Sports (Basel). 2021 Jun 22;9(7):88. doi: 10.3390/sports9070088.

Abstract

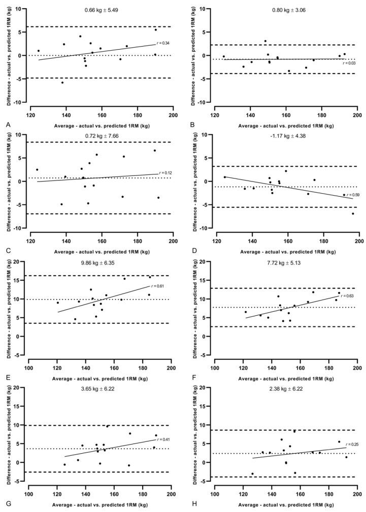
The study aim was to compare different predictive models in one repetition maximum (1RM) estimation from load-velocity profile (LVP) data. Fourteen strength-trained men underwent initial 1RMs in the free-weight back squat, followed by two LVPs, over three sessions. Profiles were constructed via a combined method (jump squat (0 load, 30-60% 1RM) + back squat (70-100% 1RM)) or back squat only (0 load, 30-100% 1RM) in 10% increments. Quadratic and linear regression modeling was applied to the data to estimate 80% 1RM (kg) using 80% 1RM mean velocity identified in LVP one as the reference point, with load (kg), then extrapolated to predict 1RM. The 1RM prediction was based on LVP two data and analyzed via analysis of variance, effect size (/ηp2), Pearson correlation coefficients (), paired -tests, standard error of the estimate (SEE), and limits of agreement (LOA). < 0.05. All models reported systematic bias < 10 kg, > 0.97, and SEE < 5 kg, however, all linear models were significantly different from measured 1RM ( = 0.015 <0.001). Significant differences were observed between quadratic and linear models for combined ( < 0.001; ηp2 = 0.90) and back squat ( = 0.004, ηp2 = 0.35) methods. Significant differences were observed between exercises when applying linear modeling ( < 0.001, ηp2 = 0.67-0.80), but not quadratic ( = 0.632-0.929, ηp2 = 0.001-0.18). Quadratic modeling employing the combined method rendered the greatest predictive validity. Practitioners should therefore utilize this method when looking to predict daily 1RMs as a means of load autoregulation.

摘要

本研究旨在比较基于负荷-速度曲线(LVP)数据进行一次重复最大值(1RM)估计的不同预测模型。14名经过力量训练的男性先进行了自由重量深蹲的初始1RM测试,随后在三个训练阶段中进行了两次LVP测试。通过组合方法(跳蹲(0负荷,1RM的30%-60%)+深蹲(1RM的70%-100%))或以10%的增量仅进行深蹲(0负荷,1RM的30%-100%)构建曲线。对数据应用二次和线性回归模型,以LVP一中确定的80%1RM平均速度为参考点来估计80%1RM(千克),再结合负荷(千克),然后外推以预测1RM。1RM预测基于LVP二的数据,并通过方差分析、效应量(/ηp2)、皮尔逊相关系数()、配对检验、估计标准误差(SEE)和一致性界限(LOA)进行分析。<0.05。所有模型的系统偏差均<10千克,>0.97,SEE<5千克,然而,所有线性模型与实测1RM均存在显著差异(=0.015<0.001)。组合方法(<0.001;ηp2=0.90)和深蹲方法(=0.004,ηp2=0.35)的二次模型和线性模型之间存在显著差异。应用线性模型时,不同练习之间存在显著差异(<0.001,ηp2=0.67-至0.80),但二次模型不存在(=0.632至=0.929,ηp2=0.001至0.18)。采用组合方法的二次模型具有最高的预测效度。因此,从业者在希望预测日常1RM以进行负荷自动调节时应采用此方法。

https://cdn.ncbi.nlm.nih.gov/pmc/blobs/84f2/8309813/8ea4401a7234/sports-09-00088-g001.jpg

文献AI研究员

20分钟写一篇综述,助力文献阅读效率提升50倍。

立即体验

用中文搜PubMed

大模型驱动的PubMed中文搜索引擎

马上搜索

文档翻译

学术文献翻译模型,支持多种主流文档格式。

立即体验