Suppr超能文献

接种疫苗后,人们会减少对 COVID-19 指南的遵守吗?一项针对匹配的英国成年人的纵向分析。

Do people reduce compliance with COVID-19 guidelines following vaccination? A longitudinal analysis of matched UK adults.

机构信息

Institute of Education, University College London, London, UK

Department of Behavioural Science and Health, University College London, London, UK.

出版信息

J Epidemiol Community Health. 2022 Feb;76(2):109-115. doi: 10.1136/jech-2021-217179. Epub 2021 Jul 8.

Abstract

INTRODUCTION

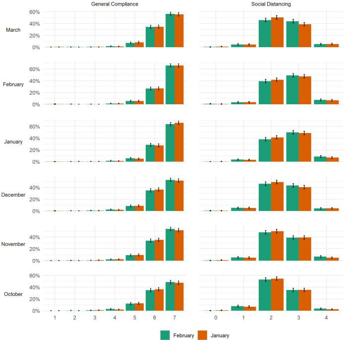
COVID-19 vaccines do not confer immediate immunity and vaccinated individuals may still be at risk of transmitting the virus. Governments have not exempted vaccinated individuals from behavioural measures to reduce the spread of COVID-19, such as practising social distancing. However, vaccinated individuals may have reduced compliance with these measures, given lower perceived risks.

METHODS

We used monthly panel data from October 2020 to March 2021 in the UK COVID-19 Social Study to assess changes in compliance following vaccination. Compliance was measured with two items on compliance with guidelines in general and compliance with social distancing. We used matching to create comparable groups of individuals by month of vaccination (January, February or not vaccinated by February) and fixed effects regression to estimate changes in compliance over the study period.

RESULTS

Compliance increased between October 2020 and March 2021, regardless of vaccination status or month of vaccination. There was no clear evidence that vaccinated individuals decreased compliance relative to those who were not yet vaccinated.

CONCLUSION

There was little evidence that sample members vaccinated in January or February reduced compliance after receiving vaccination for COVID-19. Continued monitoring is required as younger individuals receive the vaccine, lockdown restrictions are lifted and individuals receive second doses of the vaccine.

摘要

简介

COVID-19 疫苗不能立即提供免疫力,接种疫苗的人仍有可能传播病毒。政府没有豁免接种疫苗的人采取行为措施来减少 COVID-19 的传播,例如保持社交距离。然而,由于接种疫苗的人认为风险较低,他们可能会减少对这些措施的遵守。

方法

我们使用了 2020 年 10 月至 2021 年 3 月在英国 COVID-19 社会研究中的每月面板数据,评估接种疫苗后的合规性变化。合规性通过两个关于总体遵守准则和遵守社会距离的项目来衡量。我们使用匹配方法按接种月份(1 月、2 月或 2 月前未接种)创建具有可比性的个体组,并使用固定效应回归估计研究期间的合规性变化。

结果

无论接种状况或接种月份如何,2020 年 10 月至 2021 年 3 月期间,合规性均有所增加。没有明确证据表明接种疫苗的人相对于尚未接种疫苗的人降低了合规性。

结论

几乎没有证据表明在 1 月或 2 月接种疫苗的样本成员在接种 COVID-19 疫苗后降低了合规性。随着年轻人群体接种疫苗、封锁限制解除以及个体接种第二剂疫苗,需要继续监测。

https://cdn.ncbi.nlm.nih.gov/pmc/blobs/2e9a/8762010/dcec7b1aaf92/jech-2021-217179f01.jpg

文献AI研究员

20分钟写一篇综述,助力文献阅读效率提升50倍。

立即体验

用中文搜PubMed

大模型驱动的PubMed中文搜索引擎

马上搜索

文档翻译

学术文献翻译模型,支持多种主流文档格式。

立即体验