Suppr超能文献

PLGA 纳米粒子在减轻胺碘酮诱导的肺毒性中的关键作用。

Crucial Role of PLGA Nanoparticles in Mitigating the Amiodarone-Induced Pulmonary Toxicity.

机构信息

Pharmaceutics Department, Faculty of Pharmacy, Mansoura University, Mansoura, Egypt.

Forensic Medicine and Clinical Toxicology Department, Faculty of Medicine, Mansoura University, Mansoura, Egypt.

出版信息

Int J Nanomedicine. 2021 Jul 8;16:4713-4737. doi: 10.2147/IJN.S314074. eCollection 2021.

Abstract

BACKGROUND

Amiodarone (AMD) is a widely used anti-arrhythmic drug, but its administration could be associated with varying degrees of pulmonary toxicity. In attempting to circumvent this issue, AMD-loaded polymeric nanoparticles (AMD-loaded NPs) had been designed.

MATERIALS AND METHODS

AMD was loaded in NPs by the nanoprecipitation method using two stabilizers: bovine serum albumin and Kolliphor P 188. The physicochemical properties of the AMD-loaded NPs were determined. Among the prepared NPs, two ones were selected for further investigation of spectral and thermal analysis as well as morphological properties. Additionally, in vitro release patterns were studied and kinetically analyzed at different pH values. In vitro cytotoxicity of an optimized formula (NP) was quantified using A549 and Hep-2 cell lines. In vivo assessment of the pulmonary toxicity on Sprague Dawley rats via histopathological and immunohistochemical evaluations was applied.

RESULTS

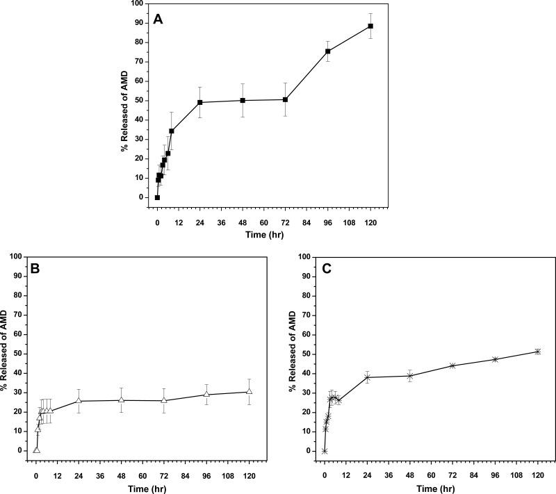
The developed NPs achieved a size not more than 190 nm with an encapsulation efficiency of more than 88%. Satisfactory values of loading capacity and yield were also attained. The spectral and thermal analysis demonstrated homogeneous entrapment of AMD inside the polymeric matrix of NPs. Morphology revealed uniform, core-shell structured, and sphere-shaped particles with a smooth surface. Furthermore, the AMD-loaded NPs exhibited a pH-dependent and diffusion-controlled release over a significant period without an initial burst effect. NP demonstrated a superior cytoprotective efficiency by diminishing cell death and significantly increasing the IC50 by more than threefold above the pure AMD. Also, NP ameliorated AMD-induced pulmonary damage in rats. Significant downregulation of inflammatory mediators and free radicle production were noticed in the NP-treated rats.

CONCLUSION

The AMD-loaded NPs could ameliorate the pulmonary injury induced by the pure drug moieties. Cytoprotective, anti-fibrotic, anti-inflammatory, and antioxidant properties were presented by the optimized NPs (NP). Future studies may be built on these findings for diminishing AMD-induced off-target toxicities.

摘要

背景

胺碘酮(AMD)是一种广泛使用的抗心律失常药物,但它的给药可能与不同程度的肺毒性有关。为了避免这个问题,设计了载胺碘酮的聚合物纳米粒(AMD-loaded NPs)。

材料和方法

AMD 采用纳米沉淀法,使用两种稳定剂(牛血清白蛋白和 Kolliphor P 188)载入 NPs 中。对 AMD-loaded NPs 的理化性质进行了测定。在所制备的 NPs 中,选择了两种用于进一步研究光谱和热分析以及形态学特性。此外,还研究了不同 pH 值下的体外释放模式,并进行了动力学分析。采用 A549 和 Hep-2 细胞系定量研究了优化配方(NP)的体外细胞毒性。通过组织病理学和免疫组织化学评价,对 Sprague Dawley 大鼠进行了体内肺毒性评估。

结果

所开发的 NPs 的粒径不超过 190nm,包封效率超过 88%。同时也获得了令人满意的载药量和产率。光谱和热分析表明 AMD 均匀地包埋在 NPs 的聚合物基质中。形态学显示出均匀的、核壳结构的、球形的、表面光滑的粒子。此外,AMD-loaded NPs 表现出 pH 依赖性和扩散控制的释放,在显著的时间段内没有初始突释效应。NP 通过减少细胞死亡和使纯 AMD 的 IC50 增加三倍以上,表现出卓越的细胞保护效率。此外,NP 改善了 AMD 诱导的大鼠肺损伤。在 NP 治疗的大鼠中,观察到炎症介质和自由基产生的显著下调。

结论

AMD-loaded NPs 可减轻纯药物部分引起的肺损伤。优化的 NPs(NP)具有细胞保护、抗纤维化、抗炎和抗氧化作用。未来的研究可能基于这些发现,以减少 AMD 引起的非靶毒性。

https://cdn.ncbi.nlm.nih.gov/pmc/blobs/98e3/8276877/e153c4ae9dd2/IJN-16-4713-g0001.jpg

文献AI研究员

20分钟写一篇综述,助力文献阅读效率提升50倍。

立即体验

用中文搜PubMed

大模型驱动的PubMed中文搜索引擎

马上搜索

文档翻译

学术文献翻译模型,支持多种主流文档格式。

立即体验