Suppr超能文献

大鼠和人背部肌肉中的较大肌纤维和纤维束表现出较小的弹性模量。

Larger muscle fibers and fiber bundles manifest smaller elastic modulus in paraspinal muscles of rats and humans.

机构信息

Department of Mechanical Engineering, University of British Columbia, Vancouver, Canada.

ICORD, University of British Columbia, Vancouver, Canada.

出版信息

Sci Rep. 2021 Sep 17;11(1):18565. doi: 10.1038/s41598-021-97895-z.

Abstract

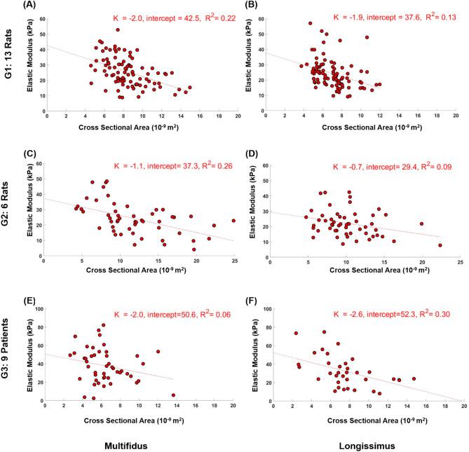
The passive elastic modulus of muscle fiber appears to be size-dependent. The objectives of this study were to determine whether this size effect was evident in the mechanical testing of muscle fiber bundles and to examine whether the muscle fiber bundle cross-section is circular. Muscle fibers and fiber bundles were extracted from lumbar spine multifidus and longissimus of three cohorts: group one (G1) and two (G2) included 13 (330 ± 14 g) and 6 (452 ± 28 g) rats, while Group 3 (G3) comprised 9 degenerative spine patients. A minimum of six muscle fibers and six muscle fiber bundles from each muscle underwent cumulative stretches, each of 10% strain followed by 4 minutes relaxation. For all specimens, top and side diameters were measured. Elastic modulus was calculated as tangent at 30% strain from the stress-strain curve. Linear correlations between the sample cross sectional area (CSA) and elastic moduli in each group were performed. The correlations showed that increasing specimen CSA resulted in lower elastic modulus for both rats and humans, muscle fibers and fiber bundles. The median ratio of major to minor axis exceeded 1.0 for all groups, ranging between 1.15-1.29 for fibers and 1.27-1.44 for bundles. The lower elastic moduli with increasing size can be explained by relatively less collagenous extracellular matrix in the large fiber bundles. Future studies of passive property measurement should aim for consistent bundle sizes and measuring diameters of two orthogonal axes of the muscle specimens.

摘要

肌肉纤维的被动弹性模量似乎与纤维直径有关。本研究旨在确定这种尺寸效应是否在肌肉纤维束的力学测试中明显,并研究肌肉纤维束的横截面积是否为圆形。从三组大鼠的腰椎多裂肌和最长肌中提取肌肉纤维和纤维束:一组(G1)和二组(G2)分别包含 13 只(330±14g)和 6 只(452±28g)大鼠,而第三组(G3)包含 9 名退行性脊柱患者。每组至少有 6 根肌肉纤维和 6 根肌肉纤维束进行累积拉伸,每次拉伸 10%,然后松弛 4 分钟。对于所有标本,测量顶部和侧面直径。弹性模量是从应力-应变曲线上 30%应变处的切线计算得出的。对每组的样本横截面积(CSA)和弹性模量进行线性相关性分析。相关性表明,大鼠和人类的肌肉纤维和纤维束的 CSA 增大,弹性模量减小。所有组的长轴与短轴之比中位数均大于 1.0,纤维为 1.15-1.29,纤维束为 1.27-1.44。随着尺寸的增大弹性模量降低,可以用较大纤维束中相对较少的胶原细胞外基质来解释。未来的被动特性测量研究应针对一致的束尺寸,并测量肌肉标本两个正交轴的直径。

https://cdn.ncbi.nlm.nih.gov/pmc/blobs/4b0f/8448745/dc9f0e1b1be2/41598_2021_97895_Fig1_HTML.jpg

文献AI研究员

20分钟写一篇综述,助力文献阅读效率提升50倍。

立即体验

用中文搜PubMed

大模型驱动的PubMed中文搜索引擎

马上搜索

文档翻译

学术文献翻译模型,支持多种主流文档格式。

立即体验