Suppr超能文献

一种基于可再生牡蛎壳粉的新型磷酸镁水泥:不同养护时间下的弯曲性能

A New Magnesium Phosphate Cement Based on Renewable Oyster Shell Powder: Flexural Properties at Different Curing Times.

作者信息

Wu Hui, Xie Zhujian, Zhang Liwen, Lin Zhiwei, Wang Shimin, Tang Wenle

机构信息

Department of Civil Engineering, Guangzhou University, Guangzhou 510006, China.

出版信息

Materials (Basel). 2021 Sep 20;14(18):5433. doi: 10.3390/ma14185433.

Abstract

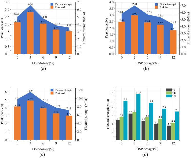
Magnesium phosphate cement (MPC), a new type of inorganic cementitious material, is favored in engineering and construction because of its fast setting speed and high bonding strength, but is limited in practical application due to its high production cost and excessive release of hydration heat. Relevant research has investigated the application of discarded oyster shell powder (OSP) replacing cement mortar and has reported certain improvements to its performance. Consequently, focusing on discovering more effects of OSP on MPC performance, this study, by using a typical three-point bending test, used 45 cuboid specimens to investigate the influences of OSP mass content on flexural properties of MPC at different curing times. Results illustrated that MPC flexural strength was first increased and then decreased, and 3% is the critical value for OSP mass content. Similarly, the stiffness of all specimens presented a tendency to increase first and then decrease, with a maximum value of 36.18 kN/mm appearing at 3%, i.e., the critical OSP mass content. Finally, scanning electron microscope (SEM) and X-ray diffraction (XRD) were employed to analyze the microstructure and composition of specimens, confirming that the specimens generated not only the hydration product potassium phosphate magnesium (MgKPO·6HO, MKP), but also another new reactant (CaHPO·2HO).

摘要

磷酸镁水泥(MPC)是一种新型无机胶凝材料,因其凝结速度快、粘结强度高而在工程建设中受到青睐,但由于其生产成本高、水化热释放过多,在实际应用中受到限制。相关研究调查了废弃牡蛎壳粉(OSP)替代水泥砂浆的应用,并报告了其性能的一定改善。因此,为了发现OSP对MPC性能的更多影响,本研究通过典型的三点弯曲试验,使用45个长方体试件研究了OSP质量含量在不同养护时间对MPC弯曲性能的影响。结果表明,MPC的抗弯强度先增大后减小,3%是OSP质量含量的临界值。同样,所有试件的刚度都呈现出先增大后减小的趋势,在3%即临界OSP质量含量时出现最大值36.18kN/mm。最后,采用扫描电子显微镜(SEM)和X射线衍射(XRD)分析试件的微观结构和组成,证实试件不仅生成了水化产物磷酸镁钾(MgKPO·6H₂O,MKP),还生成了另一种新的反应物(CaHPO·2H₂O)。

https://cdn.ncbi.nlm.nih.gov/pmc/blobs/44cb/8469899/77b269164542/materials-14-05433-g001.jpg

文献AI研究员

20分钟写一篇综述,助力文献阅读效率提升50倍。

立即体验

用中文搜PubMed

大模型驱动的PubMed中文搜索引擎

马上搜索

文档翻译

学术文献翻译模型,支持多种主流文档格式。

立即体验