Suppr超能文献

考察小组决策中的学习连贯性:三人组与四人组。

Examining learning coherence in group decision-making: triads vs. tetrads.

机构信息

Graduate School of Business Administration, Kobe University, Kobe, Japan.

出版信息

Sci Rep. 2021 Oct 14;11(1):20461. doi: 10.1038/s41598-021-00089-w.

Abstract

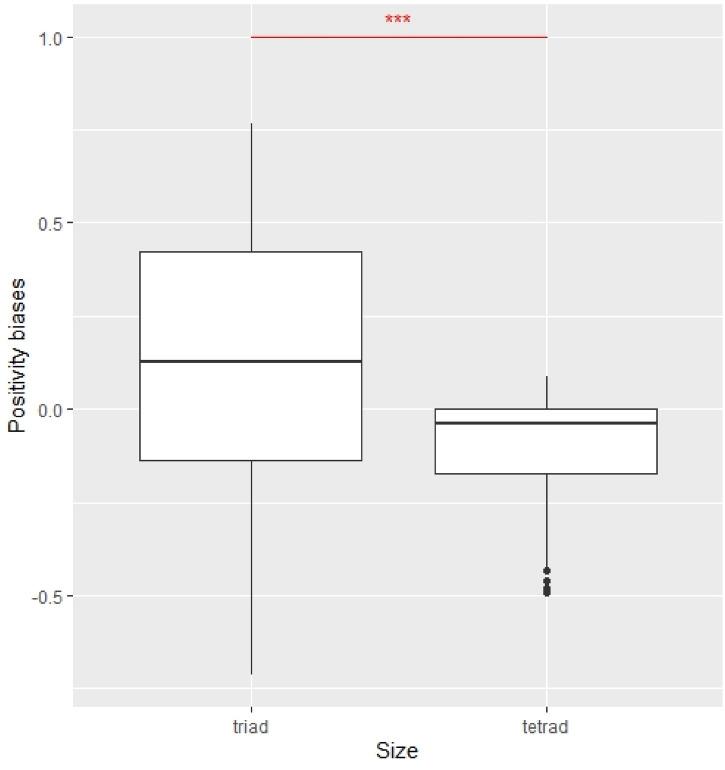
This study examined whether three heads are better than four in terms of performance and learning properties in group decision-making. It was predicted that learning incoherence took place in tetrads because the majority rule could not be applied when two subgroups emerged. As a result, tetrads underperformed triads. To examine this hypothesis, we adopted a reinforcement learning framework using simple Q-learning and estimated learning parameters. Overall, the results were consistent with the hypothesis. Further, this study is one of a few attempts to apply a computational approach to learning behavior in small groups. This approach enables the identification of underlying learning parameters in group decision-making.

摘要

本研究考察了在群体决策中,三个头是否比四个头在表现和学习属性方面更好。预测四元组中会出现学习不连贯,因为当出现两个子组时,多数规则无法适用。因此,四元组的表现不如三元组。为了检验这一假设,我们采用了强化学习框架,使用简单的 Q 学习并估计了学习参数。总的来说,结果与假设一致。此外,这项研究是为数不多的尝试将计算方法应用于小团体学习行为的研究之一。这种方法可以识别群体决策中的潜在学习参数。

https://cdn.ncbi.nlm.nih.gov/pmc/blobs/df84/8516953/89504a3869b0/41598_2021_89_Fig1_HTML.jpg

文献AI研究员

20分钟写一篇综述,助力文献阅读效率提升50倍。

立即体验

用中文搜PubMed

大模型驱动的PubMed中文搜索引擎

马上搜索

文档翻译

学术文献翻译模型,支持多种主流文档格式。

立即体验