Suppr超能文献

用2-咪唑作为亲电基团的替代物可得到高效的脯氨酰寡肽酶抑制剂。

2-Imidazole as a Substitute for the Electrophilic Group Gives Highly Potent Prolyl Oligopeptidase Inhibitors.

作者信息

Pätsi Henri T, Kilpeläinen Tommi P, Auno Samuli, Dillemuth Pyry M J, Arja Khaled, Lahtela-Kakkonen Maija K, Myöhänen Timo T, Wallén Erik A A

机构信息

Drug Research Program, Division of Pharmaceutical Chemistry and Technology, Faculty of Pharmacy, University of Helsinki, P.O. Box 56, 00014 Helsinki, Finland.

Drug Research Program, Division of Pharmacology and Pharmacotherapy, Faculty of Pharmacy, University of Helsinki, P.O. Box 56, 00014 Helsinki, Finland.

出版信息

ACS Med Chem Lett. 2021 Sep 17;12(10):1578-1584. doi: 10.1021/acsmedchemlett.1c00399. eCollection 2021 Oct 14.

Abstract

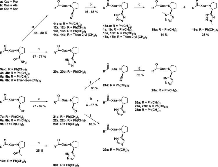
Different five-membered nitrogen-containing heteroaromatics in the position of the typical electrophilic group in prolyl oligopeptidase (PREP) inhibitors were investigated and compared to tetrazole. The 2-imidazoles were highly potent inhibitors of the proteolytic activity. The binding mode for the basic imidazole was studied by molecular docking as it was expected to differ from the acidic tetrazole. A new putative noncovalent binding mode with an interaction to His680 was found for the 2-imidazoles. Inhibition of the proteolytic activity did not correlate with the modulating effect on protein-protein-interaction-derived functions of PREP (i.e., dimerization of alpha-synuclein and autophagy). Among the highly potent PREP inhibiting 2-imidazoles, only one was also a potent modulator of PREP-catalyzed alpha-synuclein dimerization, indicating that the linker length on the opposite side of the molecule from the five-membered heteroaromatic is critical for the disconnected structure-activity relationships.

摘要

研究并比较了脯氨酰寡肽酶(PREP)抑制剂中典型亲电基团位置的不同五元含氮杂环芳烃与四氮唑。2-咪唑类是蛋白水解活性的高效抑制剂。通过分子对接研究了碱性咪唑的结合模式,因为预计其与酸性四氮唑不同。发现2-咪唑类与His680相互作用存在一种新的假定非共价结合模式。蛋白水解活性的抑制与对PREP的蛋白质-蛋白质相互作用衍生功能(即α-突触核蛋白二聚化和自噬)的调节作用不相关。在高效抑制PREP的2-咪唑类中,只有一种也是PREP催化的α-突触核蛋白二聚化的有效调节剂,这表明分子中与五元杂环芳烃相对侧的连接子长度对于不连续的构效关系至关重要。

https://cdn.ncbi.nlm.nih.gov/pmc/blobs/c17b/8521653/f27beb0809d5/ml1c00399_0002.jpg

文献AI研究员

20分钟写一篇综述,助力文献阅读效率提升50倍。

立即体验

用中文搜PubMed

大模型驱动的PubMed中文搜索引擎

马上搜索

文档翻译

学术文献翻译模型,支持多种主流文档格式。

立即体验