Suppr超能文献

磁共振影像组学与临床列线图在评估鼻咽癌新辅助化疗敏感性中的应用价值

Application Value of Magnetic Resonance Radiomics and Clinical Nomograms in Evaluating the Sensitivity of Neoadjuvant Chemotherapy for Nasopharyngeal Carcinoma.

作者信息

Hu Chunmiao, Zheng Dechun, Cao Xisheng, Pang Peipei, Fang Yanhong, Lu Tao, Chen Yunbin

机构信息

Department of Radiology, Fujian Medical University Cancer Hospital, Fujian Cancer Hospital, Fuzhou, China.

Department of Pharmaceuticals Diagnosis, GE Healthcare, Hangzhou, China.

出版信息

Front Oncol. 2021 Nov 1;11:740776. doi: 10.3389/fonc.2021.740776. eCollection 2021.

Abstract

OBJECTIVE

To predict the sensitivity of nasopharyngeal carcinoma (NPC) to neoadjuvant chemotherapy (NACT) based on magnetic resonance (MR) radiomics and clinical nomograms prior to NACT.

MATERIALS AND METHODS

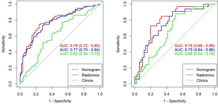
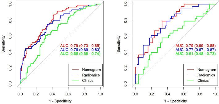
From January 2014 to July 2015, 284 consecutive patients with pathologically confirmed NPC underwent 3.0 T MR imaging (MRI) before initiating NACT. The patients' data were randomly assigned to a training set (n = 200) or a test set (n = 84) at a ratio of 7:3. The clinical data included sex, tumor (T) stage, lymph node (N) stage, American Joint Committee on Cancer (AJCC) stage, and the plasma concentration of Epstein-Barr virus (EBV) DNA. The regions of interest (ROI) were manually segmented on the axial T2-weighted imaging (T2WI) and enhanced T1-weighted imaging (T1WI) sequences using ITK-SNAP software. The radiomics data were post-processed using AK software. Moreover, the Maximum Relevance Minimum Redundancy (mRMR) algorithm and the Least Absolute Shrinkage and Selection Operator (LASSO) were adopted for dimensionality reduction to screen for the features that best predicted the treatment efficacy, and clinical risk factors were used in combination with radiomics scores (Rad-scores) to construct the clinical radiomics-based nomogram. DeLong's test was utilized to compare the area under the curve (AUC) values of the clinical radiomics-based nomogram, radiomics model, and clinical nomogram. Decision curve analysis (DCA) was employed to evaluate each model's net benefit.

RESULTS

The clinical nomogram was constructed based on data from patients who were randomly assigned according to T2WI and enhanced T1WI sequences. In the training set, the T2WI sequence-based clinical radiomics nomogram and the radiomics model outperformed the clinical nomogram in predicting the NACT efficacy (AUC, 0.81 . 0.60, = 0.001279 and 0.76 . 0.60, = 0.03026). These findings were well-verified in the test set. The enhanced T1WI sequence-based clinical radiomics nomogram exhibited better performance in predicting treatment efficacy than the clinical nomogram (AUC, 0.79 . 0.62, respectively; = 0.0000834). The DCA revealed that the T2WI and clinical radiomics-based nomograms resulted in a net benefit in predicting the NACT efficacy.

CONCLUSION

The clinical radiomics-based nomogram improved the prediction of NACT efficacy, with the T2WI sequence-based clinical radiomics achieving the best effect.

摘要

目的

基于磁共振(MR)影像组学和新辅助化疗(NACT)前的临床列线图预测鼻咽癌(NPC)对NACT的敏感性。

材料与方法

2014年1月至2015年7月,284例经病理证实的NPC患者在开始NACT前接受了3.0T MR成像(MRI)检查。患者数据按7:3的比例随机分为训练集(n = 200)和测试集(n = 84)。临床数据包括性别、肿瘤(T)分期、淋巴结(N)分期、美国癌症联合委员会(AJCC)分期以及爱泼斯坦-巴尔病毒(EBV)DNA的血浆浓度。使用ITK-SNAP软件在轴向T2加权成像(T2WI)和增强T1加权成像(T1WI)序列上手动分割感兴趣区域(ROI)。影像组学数据使用AK软件进行后处理。此外,采用最大相关最小冗余(mRMR)算法和最小绝对收缩和选择算子(LASSO)进行降维,以筛选出最能预测治疗效果的特征,并将临床危险因素与影像组学评分(Rad-scores)结合构建基于临床影像组学的列线图。使用DeLong检验比较基于临床影像组学的列线图、影像组学模型和临床列线图的曲线下面积(AUC)值。采用决策曲线分析(DCA)评估每个模型的净效益。

结果

基于根据T2WI和增强T1WI序列随机分配的患者数据构建了临床列线图。在训练集中,基于T2WI序列的临床影像组学列线图和影像组学模型在预测NACT疗效方面优于临床列线图(AUC分别为0.81对0.60,P = 0.001279和0.76对0.60,P = 0.03026)。这些结果在测试集中得到了很好的验证。基于增强T1WI序列的临床影像组学列线图在预测治疗效果方面表现优于临床列线图(AUC分别为0.79对0.62;P = 0.0000834)。DCA显示,基于T2WI和临床影像组学的列线图在预测NACT疗效方面产生了净效益。

结论

基于临床影像组学的列线图改善了对NACT疗效的预测,其中基于T2WI序列的临床影像组学效果最佳。

https://cdn.ncbi.nlm.nih.gov/pmc/blobs/762e/8591169/dd4182e1cd09/fonc-11-740776-g001.jpg

文献AI研究员

20分钟写一篇综述,助力文献阅读效率提升50倍。

立即体验

用中文搜PubMed

大模型驱动的PubMed中文搜索引擎

马上搜索

文档翻译

学术文献翻译模型,支持多种主流文档格式。

立即体验