Department of Anesthesiology, The Affiliated Hospital of Xuzhou Medical University, Jiangsu Province, Xuzhou City, China.
Jiangsu Province Key Laboratory of Anesthesiology & NMPA Key Laboratory for Research and Evaluation of Narcotic and Psychotropic Drugs, Xuzhou Medical University, Jiangsu Province, Xuzhou City, China.
CNS Neurosci Ther. 2022 Apr;28(4):608-618. doi: 10.1111/cns.13758. Epub 2021 Nov 18.
Postoperative delirium (POD) is a common postoperative complication that is relevant to poor outcomes. Therefore, it is critical to find effective methods to identify patients with high risk of POD rapidly. Creating a fully automated score based on an automated machine-learning algorithm may be a method to predict the incidence of POD quickly.
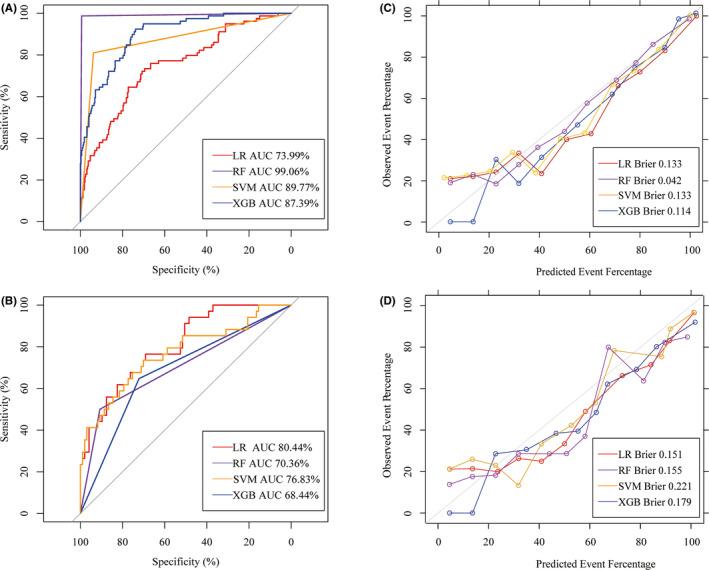
This is the secondary analysis of an observational study, including 531 surgical patients who underwent general anesthesia. The least absolute shrinkage and selection operator (LASSO) was used to screen essential features associated with POD. Finally, eight features (age, intraoperative blood loss, anesthesia duration, extubation time, intensive care unit [ICU] admission, mini-mental state examination score [MMSE], Charlson comorbidity index [CCI], postoperative neutrophil-to-lymphocyte ratio [NLR]) were used to established models. Four models, logistic regression, random forest, extreme gradient boosted trees, and support vector machines, were built in a training set (70% of participants) and evaluated in the remaining testing sample (30% of participants). Multivariate logistic regression analysis was used to explore independent risk factors for POD further.
Model 1 (logistic regression model) was found to outperform other classifier models in testing data (area under the curve [AUC] of 80.44%, 95% confidence interval [CI] 72.24%-88.64%) and achieve the lowest Brier Score as well. These variables including age (OR = 1.054, 95%CI: 1.0171.093), extubation time (OR = 1.027, 95%CI: 1.0121.044), ICU admission (OR = 2.238, 95%CI: 1.3133.793), MMSE (OR = 0.929, 95%CI: 0.8760.984), CCI (OR = 1.197, 95%CI: 1.0381.384), and postoperative NLR (OR = 1.029, 95%CI: 1.0021.057) were independent risk factors for POD in this study.
We have built and validated a high-performing algorithm to demonstrate the extent to which patient risk changes of POD during the perioperative period, thus leading to a rational therapeutic choice.
术后谵妄(POD)是一种常见的术后并发症,与不良预后相关。因此,找到快速识别 POD 高危患者的有效方法至关重要。基于自动化机器学习算法创建完全自动化的评分可能是快速预测 POD 发生率的一种方法。
这是一项观察性研究的二次分析,纳入了 531 名接受全身麻醉的手术患者。使用最小绝对收缩和选择算子(LASSO)筛选与 POD 相关的基本特征。最后,使用 8 个特征(年龄、术中出血量、麻醉持续时间、拔管时间、重症监护病房[ICU]入住、简易精神状态检查评分[MMSE]、Charlson 合并症指数[CCI]、术后中性粒细胞与淋巴细胞比值[NLR])建立模型。在训练集(70%的参与者)中构建了逻辑回归、随机森林、极端梯度提升树和支持向量机四个模型,并在剩余的测试样本(30%的参与者)中进行了评估。使用多变量逻辑回归分析进一步探讨 POD 的独立危险因素。
在测试数据中,模型 1(逻辑回归模型)表现优于其他分类器模型(AUC 为 80.44%,95%CI:72.24%-88.64%),并且获得了最低的 Brier 评分。这些变量包括年龄(OR=1.054,95%CI:1.0171.093)、拔管时间(OR=1.027,95%CI:1.0121.044)、ICU 入住(OR=2.238,95%CI:1.3133.793)、MMSE(OR=0.929,95%CI:0.8760.984)、CCI(OR=1.197,95%CI:1.0381.384)和术后 NLR(OR=1.029,95%CI:1.0021.057)是本研究中 POD 的独立危险因素。
我们已经构建并验证了一种高性能算法,以展示患者围手术期 POD 风险变化的程度,从而导致合理的治疗选择。