Brishty Shejuti Rahman, Hossain Md Jamal, Khandaker Mayeen Uddin, Faruque Mohammad Rashed Iqbal, Osman Hamid, Rahman S M Abdur
Department of Clinical Pharmacy and Pharmacology, Faculty of Pharmacy, University of Dhaka, Dhaka, Bangladesh.
Department of Pharmacy, State University of Bangladesh, Dhaka, Bangladesh.
Front Pharmacol. 2021 Nov 3;12:762807. doi: 10.3389/fphar.2021.762807. eCollection 2021.
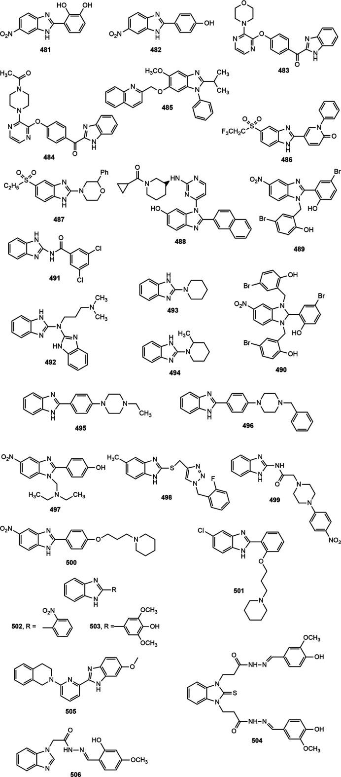
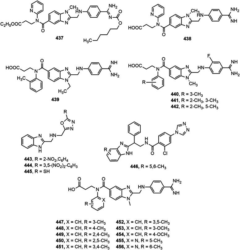
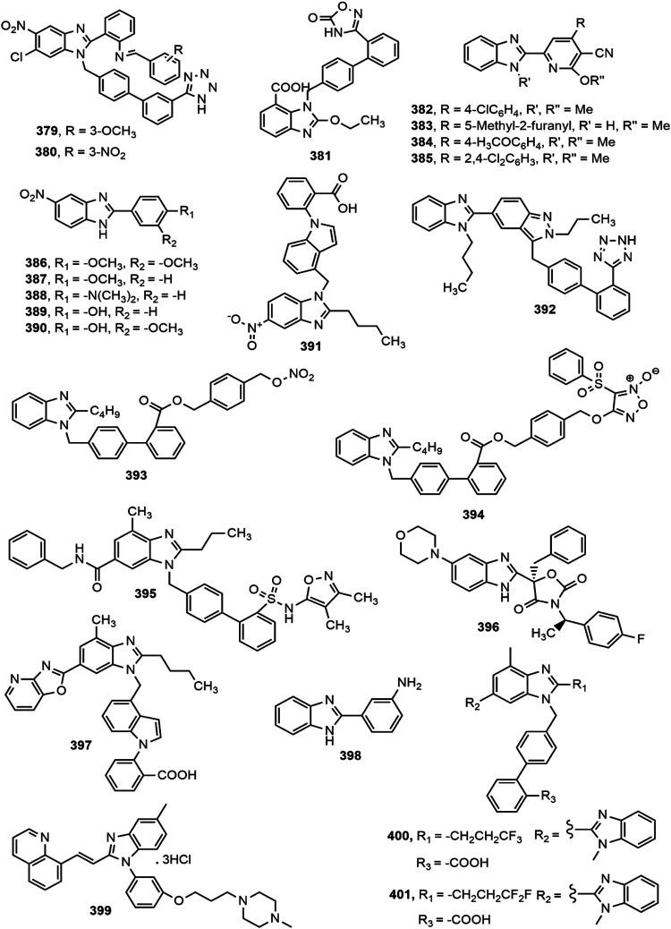
Nowadays, nitrogenous heterocyclic molecules have attracted a great deal of interest among medicinal chemists. Among these potential heterocyclic drugs, benzimidazole scaffolds are considerably prevalent. Due to their isostructural pharmacophore of naturally occurring active biomolecules, benzimidazole derivatives have significant importance as chemotherapeutic agents in diverse clinical conditions. Researchers have synthesized plenty of benzimidazole derivatives in the last decades, amidst a large share of these compounds exerted excellent bioactivity against many ailments with outstanding bioavailability, safety, and stability profiles. In this comprehensive review, we have summarized the bioactivity of the benzimidazole derivatives reported in recent literature (2012-2021) with their available structure-activity relationship. Compounds bearing benzimidazole nucleus possess broad-spectrum pharmacological properties ranging from common antibacterial effects to the world's most virulent diseases. Several promising therapeutic candidates are undergoing human trials, and some of these are going to be approved for clinical use. However, notable challenges, such as drug resistance, costly and tedious synthetic methods, little structural information of receptors, lack of advanced software, and so on, are still viable to be overcome for further research.
如今,含氮杂环分子在药物化学家中引起了极大的兴趣。在这些潜在的杂环药物中,苯并咪唑骨架相当普遍。由于其天然存在的活性生物分子的等结构药效团,苯并咪唑衍生物作为多种临床病症中的化疗药物具有重要意义。在过去几十年中,研究人员合成了大量的苯并咪唑衍生物,其中很大一部分化合物对许多疾病具有优异的生物活性,具有出色的生物利用度、安全性和稳定性。在这篇综述中,我们总结了近期文献(2012 - 2021年)报道的苯并咪唑衍生物的生物活性及其结构 - 活性关系。含有苯并咪唑核的化合物具有广谱药理特性,从常见的抗菌作用到世界上最致命的疾病。一些有前景的治疗候选药物正在进行人体试验,其中一些即将被批准用于临床。然而,诸如耐药性、昂贵且繁琐的合成方法、受体的结构信息少、缺乏先进软件等显著挑战,仍有待进一步研究去克服。