Suppr超能文献

环保型醚和酯-氨酯预聚物:结构、加工和性能。

Eco-Friendly Ether and Ester-Urethane Prepolymer: Structure, Processing and Properties.

机构信息

Department of Polymer Technology, Faculty of Chemistry, Gdańsk University of Technology, G. Narutowicza St. 11/12, 80-233 Gdańsk, Poland.

出版信息

Int J Mol Sci. 2021 Nov 11;22(22):12207. doi: 10.3390/ijms222212207.

Abstract

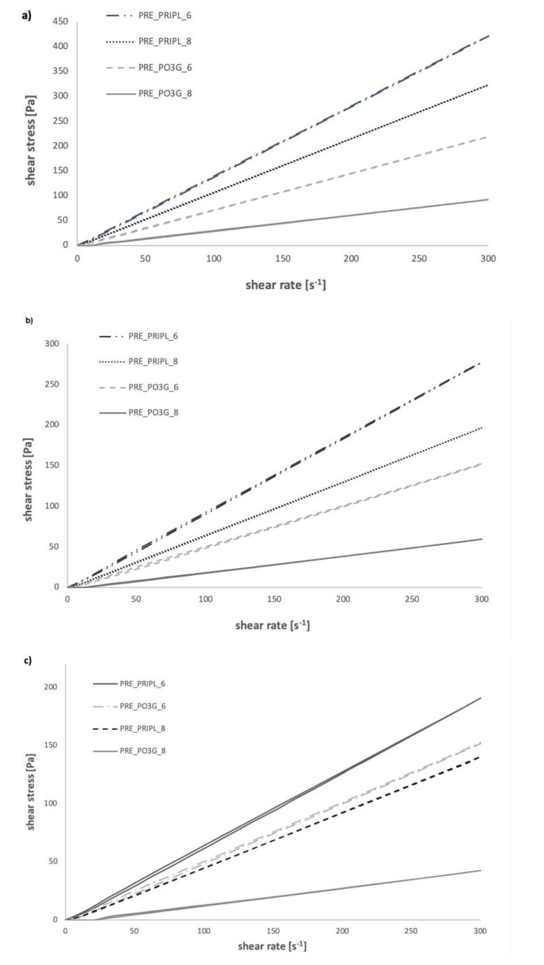
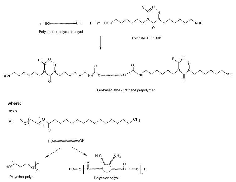
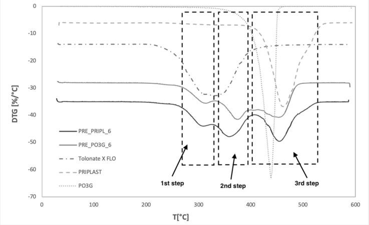
This study concerns bio-based urethane prepolymers. The relationship between the chemical structure and the thermal and processing parameters of bio-based isocyanate-terminated ether and ester-urethane prepolymers was investigated. Bio-based prepolymers were obtained with the use of bio-monomers such as bio-based diisocyanate, bio-based polyether polyol or polyester polyols. In addition to their composition, the bio-based prepolymers were different in the content of iso-cyanate groups content (ca. 6 and 8%). The process of pre-polymerization and the obtained bio-based prepolymers were analyzed by determining the content of unreacted NCO groups, Fourier transform infrared spectroscopy, proton nuclear magnetic resonance, thermogravimetry, and rheological measurements. The research conducted facilitated the evaluation of the properties and processability of urethane prepolymers based on natural components. The results indicate that a significant impact on the processability has the origin the polyol ingredient as well as the NCO content. The thermal stability of all of the prepolymers is similar. A prepolymer based on a poly-ether polyol is characterized by a lower viscosity at a lower temperature than the prepolymer based on a polyester polyol. The viscosity value depends on the NCO content.

摘要

本研究涉及基于生物的氨基甲酸乙酯预聚物。研究了生物基异氰酸酯封端的醚和酯基氨基甲酸乙酯预聚物的化学结构与热和加工参数之间的关系。使用生物单体如生物基二异氰酸酯、生物基聚醚多元醇或聚酯多元醇获得了基于生物的预聚物。除了组成不同外,基于生物的预聚物的异氰酸酯基团含量(约 6%和 8%)也不同。通过测定未反应的 NCO 基团含量、傅里叶变换红外光谱、质子核磁共振、热重分析和流变测量来分析预聚合过程和获得的基于生物的预聚物。进行的研究有助于评估基于天然成分的氨基甲酸乙酯预聚物的性能和可加工性。结果表明,多元醇成分以及 NCO 含量对加工性能有重大影响。所有预聚物的热稳定性都相似。基于聚醚多元醇的预聚物在较低温度下的粘度比基于聚酯多元醇的预聚物低。粘度值取决于 NCO 含量。

https://cdn.ncbi.nlm.nih.gov/pmc/blobs/49c1/8625470/4f7f7ef2bb46/ijms-22-12207-sch001.jpg

文献检索

告别复杂PubMed语法,用中文像聊天一样搜索,搜遍4000万医学文献。AI智能推荐,让科研检索更轻松。

立即免费搜索

文件翻译

保留排版,准确专业,支持PDF/Word/PPT等文件格式,支持 12+语言互译。

免费翻译文档

深度研究

AI帮你快速写综述,25分钟生成高质量综述,智能提取关键信息,辅助科研写作。

立即免费体验