Suppr超能文献

一种纳入红细胞分布宽度与血小板比值的创伤性脑损伤患者预后模型。

A Prognostic Model Incorporating Red Cell Distribution Width to Platelet Ratio for Patients with Traumatic Brain Injury.

作者信息

Wang Ruoran, He Min, Zhang Jing, Wang Shaobo, Xu Jianguo

机构信息

Department of Neurosurgery, West China Hospital, Sichuan University, Chengdu, Sichuan Province, People's Republic of China.

Department of Critical Care Medicine, West China Hospital, Sichuan University, Chengdu, Sichuan Province, People's Republic of China.

出版信息

Ther Clin Risk Manag. 2021 Nov 26;17:1239-1248. doi: 10.2147/TCRM.S337040. eCollection 2021.

Abstract

BACKGROUND

As an inflammation-based marker, red cell distribution width to platelet ratio (RPR) has been verified to be associated with disease severity and outcome in many clinical settings. We designed this study to evaluate the prognostic value of RPR in patients with traumatic brain injury (TBI).

METHODS

A total of 420 patients admitted with TBI were included in this study. Laboratory and clinical data were collected from an electronic medical record system. Univariate and multivariate logistic regression analyses were sequentially performed to discover risk factors of in-hospital mortality. Receiver operating characteristic (ROC) curves were drawn to confirm the predictive value of different markers including RPR in training set and testing set.

RESULTS

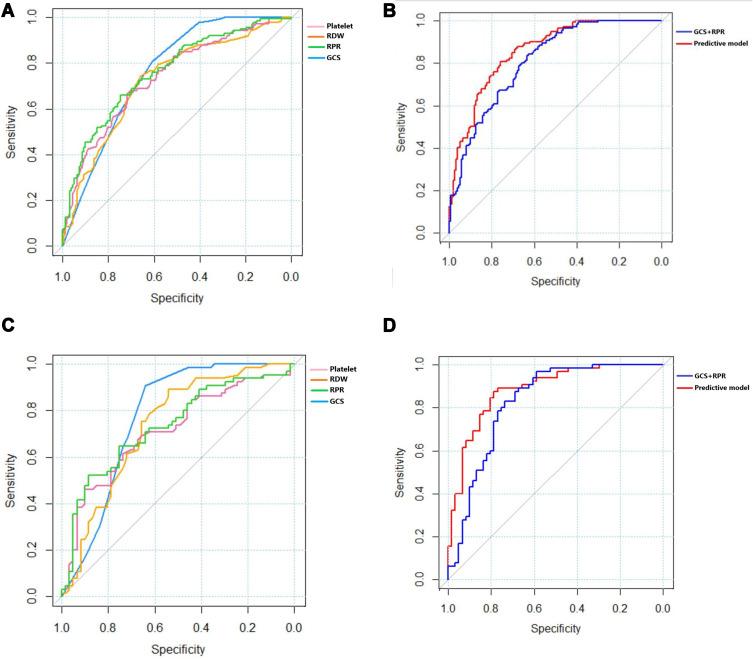
Non-survivors had higher level of RPR than survivors (P<0.001). Logistic regression analysis showed that RPR was significantly associated with mortality even after adjusting for confounding factors (P<0.001). The area under the ROC curve (AUC) value of Glasgow Coma Scale (GCS) for predicting mortality was 0.761 and 0775 in training set and testing set, respectively. And the constructed predictive model incorporating RPR had the highest AUC value of 0.858 and 0.884 in training set and testing set.

CONCLUSION

RPR is significantly associated with mortality in TBI patients. Utilizing RPR to construct a predictive model is valuable to evaluate prognosis of TBI patients.

摘要

背景

作为一种基于炎症的标志物,红细胞分布宽度与血小板比值(RPR)已被证实与多种临床情况下的疾病严重程度和预后相关。我们设计了本研究以评估RPR在创伤性脑损伤(TBI)患者中的预后价值。

方法

本研究共纳入420例因TBI入院的患者。从电子病历系统收集实验室和临床数据。依次进行单因素和多因素逻辑回归分析以发现院内死亡的危险因素。绘制受试者工作特征(ROC)曲线以确认包括RPR在内的不同标志物在训练集和测试集的预测价值。

结果

非幸存者的RPR水平高于幸存者(P<0.001)。逻辑回归分析表明,即使在调整混杂因素后,RPR仍与死亡率显著相关(P<0.001)。格拉斯哥昏迷量表(GCS)预测死亡率的ROC曲线下面积(AUC)值在训练集和测试集中分别为0.761和0.775。而纳入RPR构建的预测模型在训练集和测试集中的AUC值最高,分别为0.858和0.884。

结论

RPR与TBI患者的死亡率显著相关。利用RPR构建预测模型对评估TBI患者的预后具有重要价值。

https://cdn.ncbi.nlm.nih.gov/pmc/blobs/03fa/8631984/c473306bd100/TCRM-17-1239-g0001.jpg

文献AI研究员

20分钟写一篇综述,助力文献阅读效率提升50倍。

立即体验

用中文搜PubMed

大模型驱动的PubMed中文搜索引擎

马上搜索

文档翻译

学术文献翻译模型,支持多种主流文档格式。

立即体验