Matsumoto Erika, Oniki Kentaro, Ota-Kontani Ami, Seguchi Yuri, Sakamoto Yuki, Kaneko Tetsuya, Imafuku Tadashi, Maeda Hitoshi, Watanabe Hiroshi, Maruyama Toru, Ogata Yasuhiro, Yoshida Minoru, Harada-Shiba Mariko, Saruwatari Junji, Ogura Masatsune
Division of Pharmacology and Therapeutics, Graduate School of Pharmaceutical Sciences, Kumamoto University.
Department of Molecular Innovation in Lipidology, National Cerebral and Cardiovascular Center Research Institute.
J Atheroscler Thromb. 2023 Jan 1;30(1):23-38. doi: 10.5551/jat.63277. Epub 2022 Mar 4.
High levels of high-density lipoprotein cholesterol (HDL-C) are not necessarily effective in preventing atherosclerotic cardiovascular disease, and cholesterol efflux capacity (CEC) has attracted attention regarding HDL functionality. We aimed to elucidate whether drinking habits are associated with CEC levels, while also paying careful attention to confounding factors including serum HDL-C levels, other life style factors, and rs671 (2), a genetic polymorphism of the aldehyde dehydrogenase 2 (ALDH2) gene determining alcohol consumption habit.
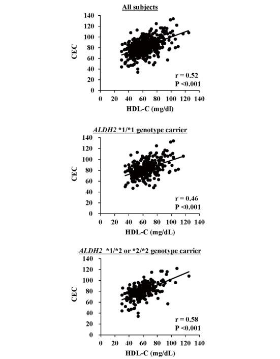
A cross-sectional study was performed in 505 Japanese male subjects who were recruited from a health screening program. Associations of HDL-C and CEC levels with drinking habits and ALDH2 genotypes were examined.
The genotype frequencies of ALDH2 1/1 (homozygous wild-type genotype), 1/2 and 2/2 (homozygous mutant genotype) were 55%, 37% and 8%, respectively. Both HDL-C and CEC levels were higher in ALDH2 1/1 genotype carriers than in 2 allele carriers. Although HDL-C levels were higher in subjects who had a drinking habit than in non-drinkers, CEC levels tended to be lower in subjects with ≥ 46 g/day of alcohol consumption than in non-drinkers. Furthermore, CEC levels tended to be lower in ALDH2 1/1 genotype carriers with a drinking habit of ≥ 46 g/day than non-drinkers, while for 2 allele carriers, CEC levels tended to be lower with a drinking habit of 23-45.9 g/day compared to no drinking habit.
Our results suggest that heavy drinking habits may tend to decrease CEC levels, and in the ALDH2 2 allele carriers, even moderate drinking habits may tend to decrease CEC levels.
高密度脂蛋白胆固醇(HDL-C)水平升高不一定能有效预防动脉粥样硬化性心血管疾病,胆固醇流出能力(CEC)已成为HDL功能方面备受关注的因素。我们旨在阐明饮酒习惯是否与CEC水平相关,同时密切关注包括血清HDL-C水平、其他生活方式因素以及rs671(2)(醛脱氢酶2(ALDH2)基因的一种基因多态性,决定饮酒习惯)等混杂因素。
对从健康筛查项目中招募的505名日本男性受试者进行了横断面研究。研究了HDL-C和CEC水平与饮酒习惯及ALDH2基因型的关联。
ALDH2 1/1(纯合野生型基因型)、1/2和2/2(纯合突变基因型)的基因型频率分别为55%、37%和8%。ALDH2 1/1基因型携带者的HDL-C和CEC水平均高于2等位基因携带者。尽管有饮酒习惯的受试者的HDL-C水平高于不饮酒者,但每日饮酒量≥46克的受试者的CEC水平往往低于不饮酒者。此外,每日饮酒量≥46克的有饮酒习惯的ALDH2 1/1基因型携带者的CEC水平往往低于不饮酒者,而对于2等位基因携带者,与无饮酒习惯相比,每日饮酒量为23 - 45.9克的饮酒习惯者的CEC水平往往较低。
我们的结果表明,大量饮酒习惯可能会降低CEC水平,而在ALDH2 2等位基因携带者中,即使是适度饮酒习惯也可能会降低CEC水平。