Suppr超能文献

不同硼含量G115钢焊接热影响区的微观组织演变

Evolution of Microstructure in Welding Heat-Affected Zone of G115 Steel with the Different Content of Boron.

作者信息

Chen Zhongyi, Kou Dongxu, Chen Zhengzong, Yang Fan, Ma Yonglin, Li Yiming

机构信息

School of Material and Metallurgy, Inner Mongolia University of Science and Technology, Baotou 014010, China.

Institute for Special Steels, China Iron and Steel Research Institute, Haidian, Beijing 100081, China.

出版信息

Materials (Basel). 2022 Mar 10;15(6):2053. doi: 10.3390/ma15062053.

Abstract

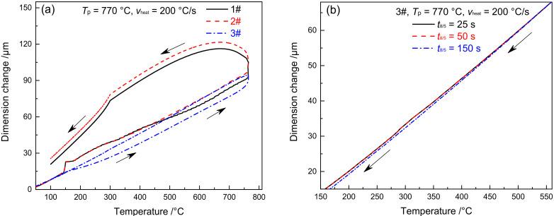
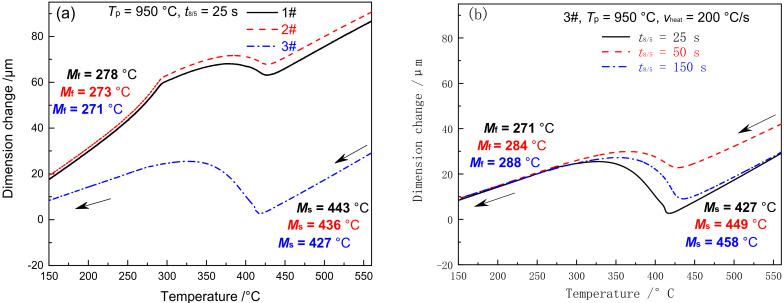
Welding thermal simulation was performed to investigate the effects of boron content (0, 60, and 130 ppm), welding peak temperature (), and cooling time from 800 to 500 °C () on the microstructure, carbide, subgrain, and microhardness of heat-affected zone (HAZ) in G115 steel. According to the experimental results, the microstructure of coarse-grained HAZ (CGHAZ), fine-grained HAZ (FGHAZ), inter-critical HAZ (ICHAZ), and sub-critically HAZ (SCHAZ) was martensite, martensite containing a small amount of undissolved carbide, martensite, and over-tempered martensite, tempered martensite, respectively. The presence of B element improved the thermal stability of MC carbide, thereby resulting in a greater amount of undissolved carbides with a larger diameter in the materials with higher B content under the same . Element B is effective in improving and for the material. Besides, compared with the material without and containing 60 ppm B, the and of the material containing 130 ppm B increased by 95 and 108 °C, 69 and 77 °C, respectively. Meanwhile, the FGHAZ area of the material containing 130 ppm B was significantly lower than the material without or containing 60 ppm B, indicating that element B can significantly reduce the formation range of FGHAZ. The alloy content in austenite of ICHAZ of materials without or containing 60 ppm B increased, compared with CGHAZ, its and declined by 50 and 7 °C, 46 and 7 °C, respectively. In contrast, the alloy content in austenite of the material with 130 ppm B content decreases, its and was 37 °C and 32 °C higher than CGHAZ, respectively. The microhardness of HAZ was ranked in descending order as CGHAZ, FGHAZ, ICHAZ, and SCHAZ. Differently, the microhardness of CGHAZ and FGHAZ showed an increasing trend with the rise of B content but exhibited a decreasing trend with the rise of .

摘要

进行了焊接热模拟,以研究硼含量(0、60和130 ppm)、焊接峰值温度()以及800至500℃的冷却时间()对G115钢热影响区(HAZ)的微观结构、碳化物、亚晶粒和显微硬度的影响。根据实验结果,粗晶热影响区(CGHAZ)、细晶热影响区(FGHAZ)、临界热影响区(ICHAZ)和亚临界热影响区(SCHAZ)的微观结构分别为马氏体、含有少量未溶解碳化物的马氏体、马氏体和过回火马氏体、回火马氏体。B元素的存在提高了MC碳化物的热稳定性,从而在相同的情况下,使硼含量较高的材料中未溶解碳化物的数量更多,直径更大。元素B对提高材料的[具体参数1]和[具体参数2]有效。此外,与不含硼和含60 ppm硼的材料相比,含130 ppm硼的材料的[具体参数1]和[具体参数2]分别提高了95和108℃、69和77℃。同时,含130 ppm硼的材料的FGHAZ面积明显低于不含硼或含60 ppm硼的材料,这表明元素B可以显著减小FGHAZ的形成范围。不含硼或含60 ppm硼的材料的ICHAZ奥氏体中的合金含量增加,与CGHAZ相比,其[具体参数1]和[具体参数2]分别下降了50和7℃、46和7℃。相比之下,硼含量为130 ppm的材料的奥氏体中的合金含量降低,其[具体参数1]和[具体参数2]分别比CGHAZ高37℃和32℃。HAZ的显微硬度按CGHAZ、FGHAZ、ICHAZ和SCHAZ的顺序递减。不同的是,CGHAZ和FGHAZ的显微硬度随硼含量的增加呈上升趋势,但随[具体参数3]的增加呈下降趋势。

https://cdn.ncbi.nlm.nih.gov/pmc/blobs/9e00/8950922/f34bf1445b38/materials-15-02053-g001.jpg

文献AI研究员

20分钟写一篇综述,助力文献阅读效率提升50倍。

立即体验

用中文搜PubMed

大模型驱动的PubMed中文搜索引擎

马上搜索

文档翻译

学术文献翻译模型,支持多种主流文档格式。

立即体验