Koret School of Veterinary Medicine, The Robert H. Smith Faculty of Agriculture, Food & Environment, The Hebrew University of Jerusalem, Rehovot 76100, Israel.
Mitrani Department of Desert Ecology, Swiss Institute for Dryland Environmental and Energy Research, The Jacob Blaustein Institutes for Desert Research, Ben-Gurion University of the Negev, Sde-Boker 8499000, Israel.
Proc Natl Acad Sci U S A. 2022 Apr 12;119(15):e2119000119. doi: 10.1073/pnas.2119000119. Epub 2022 Apr 4.
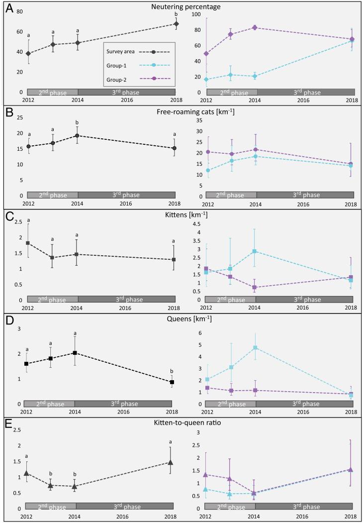
When free-roaming in natural areas, the domestic cat (Felis silvestris catus) is ranked high among the most destructive alien species. Near human dwellings, it might pose a risk to humans, impair sanitation, and suffer from poor welfare. Cats' popularity as companion animals complicates their population control. Thus, culling is often replaced by a fertility control method called “trap–neuter–return/release” (TNR), considered more humane. Despite the extensive application of TNR, a long-term controlled study was never performed to test its effectiveness. We present a uniquely designed controlled field experiment for examining TNR effectiveness. The study was performed over a 12-y period, divided into preintervention and mixed- and full-intervention phases, and spanned a 20-km2 urban area. Trends of cat, intact-female, and kitten counts, cat reproduction, and carcass reports were compared among study phases and areas with different neutering intensities. The cat population increased during the first two study phases and did not decline in highly neutered populations, presumably due to cat immigration. Expansion of high-intensity neutering to the entire city in the full-intervention phase (>70% neutering percentage) reversed cat population growth, reaching an annual approximately 7% reduction. This population reduction was limited by a rebound increase in cat reproduction and longevity. We conclude that cat population management by TNR should be performed with high intensity, continuously, and in geographic contiguity to enable population reduction. To enhance management effectiveness and mitigate compensatory effects, we recommend further evaluating an integrated strategy that combines TNR with complementary methods (e.g., vital resource regulation, ill cat euthanasia, and adoption).
当家猫(Felis silvestris catus)在自然区域自由游荡时,它在最具破坏性的外来物种中排名很高。在靠近人类居住的地方,它可能对人类构成威胁,损害卫生,并遭受福利不佳的影响。作为伴侣动物,猫的受欢迎程度使其种群控制变得复杂。因此,扑杀通常被一种称为“诱捕-绝育-放回/释放”(TNR)的生育控制方法所取代,这种方法被认为更人道。尽管 TNR 被广泛应用,但从未进行过长期的对照研究来测试其效果。我们提出了一种独特设计的对照现场实验来检验 TNR 的效果。该研究在 12 年的时间内进行,分为干预前、混合干预和完全干预三个阶段,涵盖了一个 20 平方公里的城市区域。在研究阶段和绝育强度不同的区域,我们比较了猫、未绝育雌猫和小猫的数量、猫的繁殖和尸体报告的趋势。在最初的两个研究阶段,猫的数量增加,而在高度绝育的种群中没有减少,这可能是由于猫的迁徙。在完全干预阶段,将高强度绝育扩展到整个城市(绝育比例超过 70%),扭转了猫的数量增长,达到每年约 7%的减少。这种数量减少受到猫繁殖和寿命延长的反弹增加的限制。我们得出结论,TNR 应通过高强度、持续和地理连续性来进行猫的种群管理,以实现数量减少。为了提高管理效果并减轻补偿效应,我们建议进一步评估一种综合策略,将 TNR 与补充方法(例如,重要资源调节、病猫安乐死和收养)相结合。