Suppr超能文献

ASSERT(急性骶骨不足骨折增强):老年人随机对照可行性试验。

ASSERT (Acute Sacral inSufficiEncy fractuRe augmenTation): randomised controlled, feasibility trial in older people.

机构信息

Department of Healthcare for Older People, Nottingham University Hospitals NHS Trust, Nottingham, UK

Department of Medicine, Faculty of Medicine, Universiti Malaya, Kuala Lumpur, Malaysia.

出版信息

BMJ Open. 2022 May 3;12(5):e050535. doi: 10.1136/bmjopen-2021-050535.

Abstract

OBJECTIVE

To determine the feasibility of designing and conducting a definitive trial to evaluate the effectiveness of sacral fracture fixation compared with non-surgical management among older people admitted with a lateral compression pelvic fragility fracture (PFF).

DESIGN

Single-site, parallel, two-arm randomised controlled feasibility trial.

SETTING

A UK tertiary centre hospital.

PARTICIPANTS

Patients aged ≥70 years who were ambulating pre-injury requiring hospital admission (within 28 days of injury) with a type 1 lateral compression PFF.

INTERVENTIONS

The intervention group received sacral fracture fixation (cement augmentation±screw fixation) within 7 days of randomisation. Routine preoperative and postoperative care followed each surgical intervention. The control group received usual care consisting of analgesia, and regular input from the medical and therapy team.

PRIMARY AND SECONDARY OUTCOME MEASURES

The feasibility outcomes were the number of eligible patients, willingness to be randomised, adherence to allocated treatment, retention, data on the completeness and variability of the proposed definitive trial outcome measures, and reported adverse events.

RESULTS

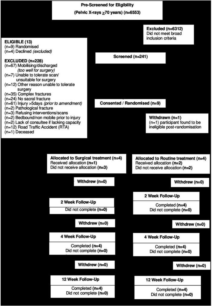
241 patients were screened. 13 (5.4%) were deemed eligible to participate. Among the eligible participants, nine (69.2%) were willing to participate. Five participants were randomised to the intervention group and four to the control group. The clinicians involved were willing to allow their patients to be randomised and adhere to the allocated treatment. One participant in the intervention group and two participants in the control group received their allocated treatment. All participants were followed up until 12 weeks post-randomisation, and had an additional safety follow-up assessment at 12 months. Overall, the proportion of completeness of outcome measures was at least 75%. No adverse events were directly related to the trial.

CONCLUSIONS

There were significant challenges in recruiting sufficient participants which will need to be addressed prior to a definitive trial.

TRIAL REGISTRATION NUMBER

ISRCTN16719542.

摘要

目的

确定设计和开展一项关于老年人群骶骨骨折固定与非手术治疗相比的有效性的确定性试验的可行性,这些老年患者因外侧压缩型骨盆脆弱性骨折(PFF)入院。

设计

单站点、平行、双臂随机对照可行性试验。

地点

英国一家三级中心医院。

参与者

年龄≥70 岁、受伤前可活动、需要住院(受伤后 28 天内)且患有 1 型外侧压缩型 PFF 的患者。

干预措施

干预组在随机分组后 7 天内接受骶骨骨折固定(骨水泥增强±螺钉固定)。每例手术干预后均接受常规术前和术后护理。对照组接受常规治疗,包括止痛和接受医疗和治疗团队的定期治疗。

主要和次要结局测量

可行性结局为合格患者人数、随机意愿、对分配治疗的依从性、保留率、拟议确定性试验结局测量的完整性和变异性数据以及报告的不良事件。

结果

共筛选了 241 名患者,其中 13 名(5.4%)被认为符合参与条件。在合格的参与者中,有 9 名(69.2%)愿意参与。5 名参与者被随机分配到干预组,4 名参与者被随机分配到对照组。参与的临床医生愿意允许其患者随机分组并遵守分配的治疗。干预组中有 1 名参与者和对照组中有 2 名参与者接受了他们的分配治疗。所有参与者均随访至随机分组后 12 周,并在 12 个月时进行了额外的安全性随访评估。总体而言,结局测量的完整性比例至少为 75%。没有与试验直接相关的不良事件。

结论

在开展确定性试验之前,需要解决招募足够参与者的重大挑战。

试验注册

ISRCTN86647075。

https://cdn.ncbi.nlm.nih.gov/pmc/blobs/2b61/9066477/33a8bb805c78/bmjopen-2021-050535f01.jpg

文献AI研究员

20分钟写一篇综述,助力文献阅读效率提升50倍。

立即体验

用中文搜PubMed

大模型驱动的PubMed中文搜索引擎

马上搜索

文档翻译

学术文献翻译模型,支持多种主流文档格式。

立即体验