Suppr超能文献

CaCrNiOsO双钙钛矿的电学、磁学、光学和热电性质

Electronic, magnetic, optical and thermoelectric properties of CaCr Ni OsO double perovskites.

作者信息

Bhandari Shalika R, Yadav D K, Belbase B P, Zeeshan M, Sadhukhan B, Rai D P, Thapa R K, Kaphle G C, Ghimire Madhav Prasad

机构信息

Central Department of Physics, Tribhuvan University Kathmandu Nepal

Institute for Theoretical Solid State Physics, IFW Dresden e. V. Dresden-01069 Germany.

出版信息

RSC Adv. 2020 Apr 23;10(27):16179-16186. doi: 10.1039/c9ra10775d. eCollection 2020 Apr 21.

Abstract

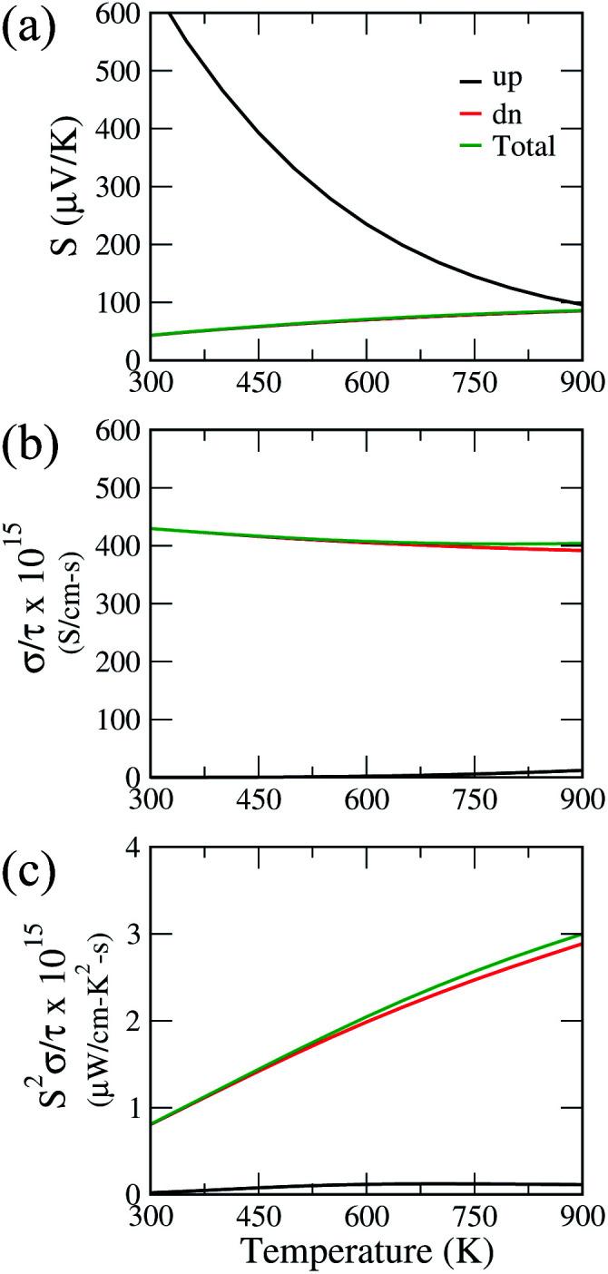
With the help of density functional theory calculations, we explored the recently synthesized double perovskite material CaCrOsO and found it to be a ferrimagnetic insulator with a band gap of ∼0.6 eV. Its effective magnetic moment is found to be ∼0.23 per unit cell. The proposed behavior arises from the cooperative effect of spin-orbit coupling and Coulomb correlation of Cr-3d and Os-5d electrons along with the crystal field. Within the ferrimagnetic configuration, doping with 50% Ni in the Cr-sites resulted in a half-metallic state with a total moment of nearly zero, a characteristic of spintronic materials. Meanwhile, the optical study reveals that both and decrease first and then increase rapidly with increasing photon energy up to 1.055 eV. We also found optical anisotropy up to ∼14 eV, where the material becomes almost optically isotropic. This material has a plateau like region in the and parts of the optical conductivity due to a strong 3d-5d interband transition between Cr and Os. In addition, we performed thermoelectric calculations whose results predict that the material might not be good as a thermoelectric device due to its small power factor.

摘要

在密度泛函理论计算的帮助下,我们研究了最近合成的双钙钛矿材料CaCrOsO,发现它是一种带隙约为0.6 eV的亚铁磁绝缘体。其有效磁矩约为每晶胞0.23 。所提出的行为源于Cr-3d和Os-5d电子的自旋轨道耦合和库仑相关性与晶体场的协同效应。在亚铁磁构型中,在Cr位点用50%的Ni掺杂导致了一种半金属态,其总磁矩几乎为零,这是自旋电子材料的一个特征。同时,光学研究表明,在光子能量增加到1.055 eV之前, 和 都先减小然后迅速增加。我们还发现了高达约14 eV的光学各向异性,在此处材料几乎变为光学各向同性。由于Cr和Os之间强烈的3d-5d带间跃迁,该材料在光学电导率的 和 部分有一个类似平台的区域。此外,我们进行了热电计算,结果预测该材料由于其较小的功率因数可能不适合作为热电装置。

https://cdn.ncbi.nlm.nih.gov/pmc/blobs/d28e/9059137/dc0371163540/c9ra10775d-f1.jpg

文献AI研究员

20分钟写一篇综述,助力文献阅读效率提升50倍。

立即体验

用中文搜PubMed

大模型驱动的PubMed中文搜索引擎

马上搜索

文档翻译

学术文献翻译模型,支持多种主流文档格式。

立即体验