Suppr超能文献

一种基于机器学习的方法,用于根据脾脏局灶性病变的CT特征对其进行分类。

A Machine Learning-Based Approach for Classification of Focal Splenic Lesions Based on Their CT Features.

作者信息

Burti Silvia, Zotti Alessandro, Bonsembiante Federico, Contiero Barbara, Banzato Tommaso

机构信息

Department of Animal Medicine, Production and Health, University of Padua, Viale dell'Università 16, Padua, Italy.

Department of Comparative Biomedicine and Food Science, University of Padua, Viale dell'Università 16, Padua, Italy.

出版信息

Front Vet Sci. 2022 May 2;9:872618. doi: 10.3389/fvets.2022.872618. eCollection 2022.

Abstract

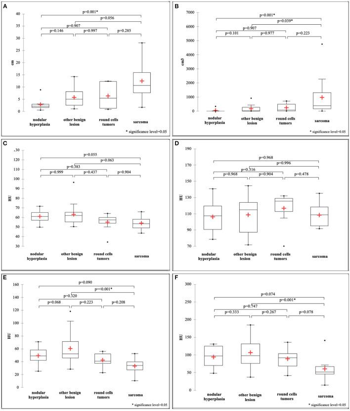
The aim of the study was to describe the CT features of focal splenic lesions (FSLs) in dogs in order to predict lesion histotype. Dogs that underwent a CT scan and had a FSL diagnosis by cytology or histopathology were retrospectively included in the study. For the statistical analysis the cases were divided into four groups, based on the results of cytopatholoy or hystopathology, namely: nodular hyperplasia (NH), other benign lesions (OBLs), sarcoma (SA), round cell tumour (RCT). Several qualitative and quantitative CT features were described for each case. The relationship occurring between each individual CT feature and the histopathological groups was explred by means of c chi-square test for the count data and by means of Kruskal-Wallis or ANOVA for the continuous data. Furthermore, the main features of each group were described using factorial discriminant analysis, and a decision tree for lesion classification was then developed. Sarcomas were characterised by large dimensions, a cystic appearance and an overall low post contrast-enhancement. NH and OBLs were characterised by small dimensions, a solid appearance and a high post-contrast enhancement. OBLs showed higher post-contrast values than NH. Lastly, RCTs did not exhibit any distinctive CT features. The proposed decision tree had a high accuracy for the classification of SA (0.89) and a moderate accuracy for the classification of OBLs and NH (0.79), whereas it was unable to classify RCTs. The results of the factorial analysis and the proposed decision tree could help the clinician in classifying FSLs based on their CT features. A definitive FSL diagnosis can only be obtained by microscopic examination of the spleen.

摘要

本研究的目的是描述犬局灶性脾病变(FSL)的CT特征,以便预测病变组织类型。对接受CT扫描并通过细胞学或组织病理学诊断为FSL的犬进行回顾性研究。为进行统计分析,根据细胞病理学或组织病理学结果将病例分为四组,即:结节性增生(NH)、其他良性病变(OBL)、肉瘤(SA)、圆形细胞瘤(RCT)。对每个病例描述了几种定性和定量的CT特征。通过计数资料的卡方检验以及连续资料的Kruskal-Wallis检验或方差分析,探讨了每个单独的CT特征与组织病理学组之间的关系。此外,使用因子判别分析描述了每组的主要特征,然后建立了病变分类的决策树。肉瘤的特征为体积大、呈囊性外观且增强后总体强化程度低。NH和OBL的特征为体积小、呈实性外观且增强后强化程度高。OBL增强后的数值高于NH。最后,RCT未表现出任何独特的CT特征。所提出的决策树对SA分类的准确率较高(0.89),对OBL和NH分类的准确率中等(0.79),而无法对RCT进行分类。因子分析结果和所提出的决策树可帮助临床医生根据FSL的CT特征对其进行分类。FSL的明确诊断只能通过脾脏的显微镜检查获得。

https://cdn.ncbi.nlm.nih.gov/pmc/blobs/ebf3/9108536/56981a39bba8/fvets-09-872618-g0001.jpg

文献AI研究员

20分钟写一篇综述,助力文献阅读效率提升50倍。

立即体验

用中文搜PubMed

大模型驱动的PubMed中文搜索引擎

马上搜索

文档翻译

学术文献翻译模型,支持多种主流文档格式。

立即体验