Department of Medical Sciences, Institute of Biomedicine-iBiMED, University of Aveiro, 3810-193 Aveiro, Portugal.
Aveiro Institute of Materials-CICECO, University of Aveiro, 3810-193 Aveiro, Portugal.
Cells. 2022 May 19;11(10):1686. doi: 10.3390/cells11101686.
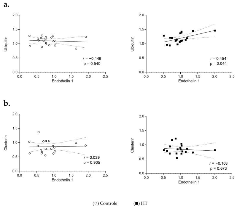
Hypertension is the most determinant risk factor for cardiovascular diseases. Early intervention and future therapies targeting hypertension mechanisms may improve the quality of life and clinical outcomes. Hypertension has a complex multifactorial aetiology and was recently associated with protein homeostasis (proteostasis). This work aimed to characterize proteostasis in easy-to-access plasma samples from 40 individuals, 20 with controlled hypertension and 20 age- and gender-matched normotensive individuals. Proteostasis was evaluated by quantifying the levels of protein aggregates through different techniques, including fluorescent probes, slot blot immunoassays and Fourier-transform infrared spectroscopy (FTIR). No significant between-group differences were observed in the absolute levels of various protein aggregates (Proteostat or Thioflavin T-stained aggregates; prefibrillar oligomers and fibrils) or total levels of proteostasis-related proteins (Ubiquitin and Clusterin). However, significant positive associations between Endothelin 1 and protein aggregation or proteostasis biomarkers (such as fibrils and ubiquitin) were only observed in the hypertension group. The same is true for the association between the proteins involved in quality control and protein aggregates. These results suggest that proteostasis mechanisms are actively engaged in hypertension as a coping mechanism to counteract its pathological effects in proteome stability, even when individuals are chronically medicated and presenting controlled blood pressure levels.
高血压是心血管疾病最重要的决定因素。早期干预和针对高血压机制的未来治疗方法可能会提高生活质量和临床结果。高血压具有复杂的多因素病因,最近与蛋白质平衡(稳态)有关。这项工作旨在从 40 个人的易获取血浆样本中表征蛋白质平衡,其中 20 人患有控制良好的高血压,20 人年龄和性别匹配的血压正常。通过不同技术,包括荧光探针、槽式印迹免疫测定法和傅里叶变换红外光谱(FTIR),定量蛋白质聚集体的水平来评估蛋白质平衡。在各种蛋白质聚集体(蛋白稳态或硫黄素 T 染色聚集体;前纤维寡聚物和纤维)或与蛋白质平衡相关的蛋白质的总水平(泛素和聚集素)的绝对水平方面,两组之间没有观察到显著差异。然而,仅在高血压组中观察到内皮素 1 与蛋白质聚集或蛋白质平衡生物标志物(如纤维和泛素)之间存在显著正相关。参与质量控制的蛋白质与蛋白质聚集体之间的关联也是如此。这些结果表明,即使在个体长期接受药物治疗并表现出控制的血压水平时,蛋白质平衡机制也积极参与高血压作为一种应对机制,以抵抗其对蛋白质组稳定性的病理影响。