Suppr超能文献

胃肠内窥镜污染率——不能只怪电梯:一项系统评价与荟萃分析

Gastrointestinal endoscope contamination rates - elevators are not only to blame: a systematic review and meta-analysis.

作者信息

Goyal Hemant, Larsen Sara, Perisetti Abhilash, Larsen Nikolaj Birk, Ockert Lotte Klinten, Adamsen Sven, Tharian Benjamin, Thosani Nirav

机构信息

Center for Interventional Gastroenterology at UTHealth (iGUT), Division of Gastroenterology, Hepatology & Nutrition, McGovern Medical School, UTHealth, Houston, Texas, United States.

Clinical Assistant Professor, Mercer University School of Medicine, Macon, Georgia, United States.

出版信息

Endosc Int Open. 2022 Jun 10;10(6):E840-E853. doi: 10.1055/a-1795-8883. eCollection 2022 Jun.

Abstract

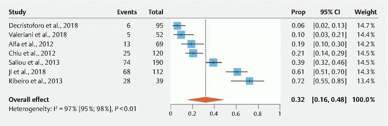
Duodenoscopes that are contaminated due to inadequate reprocessing are well-documented. However, studies have demonstrated poor reprocessing of other kinds of endoscopes as well, including echoendoscopes, gastroscopes, and colonoscopes. We estimated the contamination rate beyond the elevator of gastrointestinal endoscopes based on available data.  We searched PubMed and Embase from January 1, 2010 to October 10, 2020, for studies investigating contamination rates of reprocessed gastrointestinal endoscopes. A random-effects model was used to calculate the contamination rate of patient-ready gastrointestinal endoscopes. Subgroup analyses were conducted to investigate differences among endoscope types, countries, and colony-forming unit (CFU) thresholds.  Twenty studies fulfilled the inclusion criteria, including 1,059 positive cultures from 7,903 samples. The total contamination rate was 19.98 % ± 0.024 (95 % confidence interval [Cl]: 15.29 %-24.68 %; I  = 98.6 %). The contamination rates of colonoscope and gastroscope channels were 31.95 % ± 0.084 and 28.22 % ± 0.076, respectively. Duodenoscope channels showed a contamination rate of 14.41 % ± 0.029. The contamination rates among studies conducted in North America and Europe were 6.01 % ± 0.011 and 18.16% ± 0.053 %, respectively. The contamination rate among studies using a CFU threshold > 20 showed contamination of 30.36 % ± 0.094, whereas studies using a CFU threshold < 20 showed a contamination rate of 11 % ± 0.026.  On average, 19.98 % of reprocessed gastrointestinal endoscopes may be contaminated when used in patients and varies between different geographies. These findings highlight that the elevator mechanism is not the only obstacle when reprocessing reusable endoscopes; therefore, guidelines should recommend more surveillance of the endoscope channels as well.

摘要

因再处理不充分而被污染的十二指肠镜已有充分记录。然而,研究表明其他类型的内窥镜再处理情况也不佳,包括超声内镜、胃镜和结肠镜。我们根据现有数据估算了胃肠道内窥镜提升器以外部位的污染率。

我们检索了2010年1月1日至2020年10月10日期间的PubMed和Embase数据库,查找有关再处理后的胃肠道内窥镜污染率的研究。采用随机效应模型计算可供患者使用的胃肠道内窥镜的污染率。进行亚组分析以研究内窥镜类型、国家和菌落形成单位(CFU)阈值之间的差异。

20项研究符合纳入标准,包括7903份样本中的1059份阳性培养结果。总污染率为19.98%±0.024(95%置信区间[Cl]:15.29%-24.68%;I²=98.6%)。结肠镜和胃镜通道的污染率分别为31.95%±0.084和28.22%±0.076。十二指肠镜通道的污染率为14.41%±0.029。在北美和欧洲进行的研究中的污染率分别为6.01%±0.011和18.16%±0.053%。使用CFU阈值>20的研究中的污染率为30.36%±0.094,而使用CFU阈值<20的研究中的污染率为11%±0.026。

平均而言,再处理后的胃肠道内窥镜用于患者时,可能有19.98%被污染,且不同地区有所差异。这些发现突出表明,提升器机制不是可重复使用内窥镜再处理时的唯一障碍;因此,指南也应建议对内窥镜通道进行更多监测。

https://cdn.ncbi.nlm.nih.gov/pmc/blobs/7137/9187382/0f94a5df17f6/10-1055-a-1795-8883-i2390ei1.jpg

文献AI研究员

20分钟写一篇综述,助力文献阅读效率提升50倍。

立即体验

用中文搜PubMed

大模型驱动的PubMed中文搜索引擎

马上搜索

文档翻译

学术文献翻译模型,支持多种主流文档格式。

立即体验