Sussex Health Outcomes Research & Education in Cancer (SHORE-C), Brighton & Sussex Medical School, University of Sussex, Falmer, UK.
Faculty of Medicine and Health Sciences, Keele University, Keele, UK.
Br J Cancer. 2022 Oct;127(6):1116-1122. doi: 10.1038/s41416-022-01871-x. Epub 2022 Jun 17.
Mainstreaming of germline testing demands that all healthcare professionals have good communication skills, but few have genetic testing and counselling experience. We developed and evaluated educational workshops-Talking about Risk & UncertaintieS of Testing IN Genetics (TRUSTING). Contents included: presentations and exercises, an interview with a geneticist about BRCA testing, screening and prevention implications, filmed interactions between surgeons, a genetic counsellor and geneticists with a fictitious family (proband had a BRCA2 pathogenic variant with triple-negative breast cancer, her older sister-BRCA2 heterozygous, and cousin-negative for BRCA2 variant).
Twenty-one surgeons, 5 oncologists, 18 nurses and 9 genetic counsellors participated. Knowledge (18 item MCQ), communication skills (responses to 6 questions from proband and relatives) and self-confidence (discussing 9 genetic testing issues) were assessed pre- and post workshop.
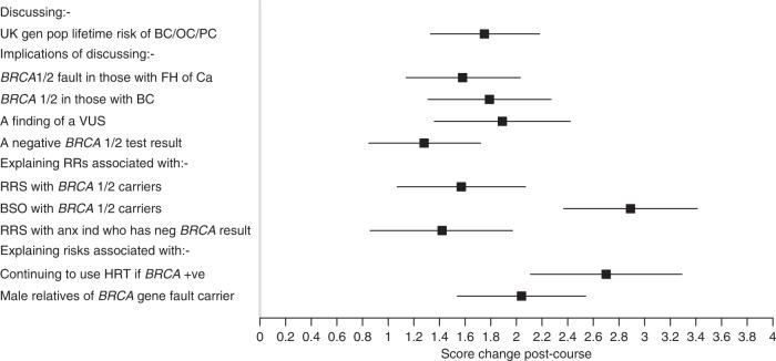
Knowledge scores improved significantly post workshop (mean change = 7.06; 95% confidence interval (CI) 6.37-7.74; P < 0.001), as did communication (mean change = 5.38; 95% CI 4.37-6.38; P < 0.001) and self-confidence (P < 0.001).
Healthcare professionals' knowledge and self-confidence when discussing the risks and uncertainties in genetics are often poor. TRUSTING workshops significantly enhanced attendees' navigation of communication difficulties encountered and will be rolled out more widely.
生殖系检测的主流化要求所有医疗保健专业人员都具备良好的沟通技巧,但很少有人具有基因检测和咨询经验。我们开发并评估了教育研讨会 - 讨论基因检测中的风险和不确定性(TRUSTING)。内容包括:演示和练习,与遗传学家的访谈,BRCA 检测,筛查和预防意义,外科医生,遗传咨询师和遗传学家之间的电影互动,虚构家庭(先证者携带 BRCA2 致病性变体和三阴性乳腺癌,她的姐姐-BRCA2 杂合子,表亲 BRCA2 变体阴性)。
21 名外科医生,5 名肿瘤学家,18 名护士和 9 名遗传咨询师参加了研究。在研讨会前后评估了知识(18 项 MCQ),沟通技巧(对先证者和亲属的 6 个问题的回答)和自信(讨论 9 个基因检测问题)。
研讨会后知识得分显着提高(平均变化= 7.06;95%置信区间(CI)6.37-7.74;P <0.001),沟通(平均变化= 5.38;95%CI 4.37-6.38;P <0.001)和自信(P <0.001)也是如此。
医疗保健专业人员在讨论遗传学中的风险和不确定性时,其知识和自信往往较差。TRUSTING 研讨会显着提高了与会者在遇到沟通困难时的导航能力,并将更广泛地推出。