Department of Physiology and Cell Biology College of Medicine The Ohio State University Columbus OH.
Dorothy M. Davis Heart and Lung Research Institute The Ohio State University Columbus OH.
J Am Heart Assoc. 2022 Jul 5;11(13):e025405. doi: 10.1161/JAHA.121.025405. Epub 2022 Jun 22.
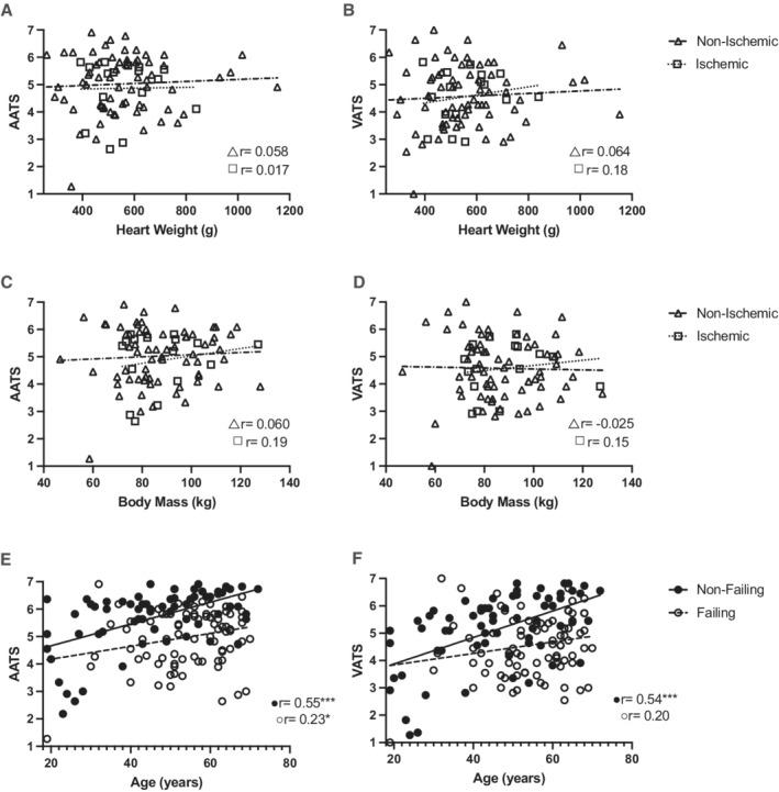
Background Because body mass index (BMI) is generally used clinically to define obesity and to estimate body adiposity, BMI likely is positively correlated with epicardial adipose tissue (EAT) level. Based on echocardiography, previous outcomes on this matter have varied from almost absent to rather strong correlations between BMI and EAT. The purpose of our study was to unambiguously examine EAT content and determine if correlations exist between EAT content and BMI, cause of heart failure, or contractile force. Methods and Results We qualitatively scored 150 human hearts ex vivo on EAT distribution. From each heart, multiple photographs of the heart were taken, and both atrial and ventricular adipose tissue levels were semiquantitatively scored. Main findings include a generally higher EAT content on nonfailing hearts compared with end-stage failing hearts (atrial adipose tissue level 5.70±0.13 vs. 5.00±0.12, <0.001; ventricular adipose tissue level 5.14±0.16 vs. 4.57±0.12, =0.0048). The results also suggest that EAT quantity is not strongly correlated with BMI in nonfailing (atrial adipose tissue level =0.069, ventricular adipose tissue level =0.14) or failing (atrial adipose tissue level =-0.022, ventricular adipose tissue level =0.051) hearts. Atrial EAT is closely correlated with ventricular EAT in both nonfailing (=0.92, <0.001) and failing (=0.87, <0.001) hearts. Conclusions EAT volume appears to be inversely proportional to severity of or length of time with heart failure based on our findings. Based on a lack of correlation with BMI, it is incorrect to assume high EAT volume given high body fat percentage.
由于身体质量指数(BMI)通常用于临床定义肥胖和估计体脂肪量,因此 BMI 可能与心外膜脂肪组织(EAT)水平呈正相关。基于超声心动图,此前关于这方面的结果差异很大,BMI 与 EAT 之间的相关性几乎不存在,也有相当强的相关性。我们研究的目的是明确检查 EAT 含量,并确定 EAT 含量与 BMI、心力衰竭原因或收缩力之间是否存在相关性。
我们对 150 例人体心脏进行了体外定性评分,以评估 EAT 分布。从每颗心脏中,我们拍摄了多幅心脏照片,并对半定量评分心房和心室脂肪组织水平。主要发现包括与晚期衰竭心脏相比,非衰竭心脏的 EAT 含量通常更高(心房脂肪组织水平为 5.70±0.13 对 5.00±0.12,<0.001;心室脂肪组织水平为 5.14±0.16 对 4.57±0.12,=0.0048)。结果还表明,非衰竭(心房脂肪组织水平=0.069,心室脂肪组织水平=0.14)或衰竭(心房脂肪组织水平=-0.022,心室脂肪组织水平=0.051)心脏中,EAT 量与 BMI 之间的相关性不强。在非衰竭(=0.92,<0.001)和衰竭(=0.87,<0.001)心脏中,心房 EAT 与心室 EAT 密切相关。
根据我们的研究结果,EAT 体积似乎与心力衰竭的严重程度或持续时间成反比。由于与 BMI 缺乏相关性,因此不能根据高体脂百分比假设高 EAT 体积。