Suppr超能文献

职业足球运动员外部负荷测量的比较

Comparison of Measurements of External Load between Professional Soccer Players.

作者信息

Gholizadeh Roghayyeh, Nobari Hadi, Bolboli Lotfali, Siahkouhian Marefat, Brito João Paulo

机构信息

Department of Exercise Physiology, Faculty of Educational Sciences and Psychology, University of Mohaghegh Ardabili, Ardabil 56199-11367, Iran.

Department of Physical Education and Sport, Faculty of Sport Science, University of Granada, 18010 Granada, Spain.

出版信息

Healthcare (Basel). 2022 Jun 15;10(6):1116. doi: 10.3390/healthcare10061116.

Abstract

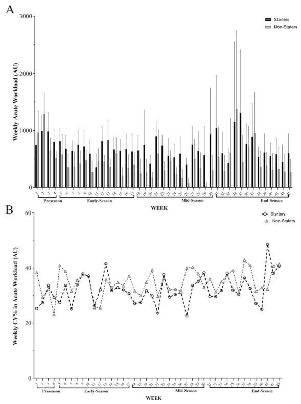
Background: The excessive and rapid increases in training load (TL) may be responsible for most non-contact injuries in soccer. This study’s aims were to describe, week(w)-by-week, the acute (AW), chronic (CW), acute:chronic workload ratio (wACWR), total distance (wTD), duration training (wDT), sprint total distance (wSTD), repeat sprint (wRS), and maximum speed (wMS) between starter and non-starter professional soccer players based on different periods (i.e., pre-, early-, mid-, and end-season) of a full-season (Persian Gulf Pro League, 2019−2020). Methods: Nineteen players were divided according to their starting status: starters (n = 10) or non-starters (n = 9). External workload was monitored for 43 weeks: pre- from w1−w4; early- from w5−w17; mid- from w18−w30, and end-season from w31−w43. Results: In starters, AW, CW, and wACWR were greater than non-starters (p < 0.05) throughout the periods of early- (CW, p ≤ 0.0001), mid- (AW, p = 0.008; CW, p ≤ 0.0001; wACWR, p = 0.043), or end-season (AW, p = 0.035; CW, p = 0.017; wACWR, p = 0.010). Starters had a greater wTD (p ≤ 0.0001), wSTD (p ≤ 0.0001 to 0.003), wDT (p ≤ 0.0001 to 0.023), wRS (p ≤ 0.0001 to 0.018), and wMS (p ≤ 0.0001) than non-starters during early-, mid-, and end-season. Conclusion: Starters experienced more CW and AW during the season than non-starters, which underlines the need to design tailored training programs accounting for the differences between playing status.

摘要

背景

训练负荷(TL)的过度快速增加可能是足球运动中大多数非接触性损伤的原因。本研究的目的是按周描述在2019 - 2020年波斯湾职业联赛整个赛季的不同时期(即季前、赛季前期、赛季中期和赛季末期),首发和非首发职业足球运动员之间的急性负荷(AW)、慢性负荷(CW)、急性:慢性负荷比值(wACWR)、总距离(wTD)、训练时长(wDT)、冲刺总距离(wSTD)、重复冲刺次数(wRS)和最大速度(wMS)。

方法

19名球员根据其首发状态分为:首发球员(n = 10)和非首发球员(n = 9)。对外部负荷进行了43周的监测:季前从第1 - 4周;赛季前期从第5 - 17周;赛季中期从第18 - 30周;赛季末期从第31 - 43周。

结果

在首发球员中,在赛季前期(CW,p≤0.0001)、赛季中期(AW,p = 0.008;CW,p≤0.0001;wACWR,p = 0.043)或赛季末期(AW,p = 0.035;CW,p = 0.017;wACWR,p = 0.010)期间,AW、CW和wACWR均高于非首发球员(p < 0.05)。在赛季前期、赛季中期和赛季末期,首发球员的wTD(p≤0.0001)、wSTD(p≤0.0001至0.003)、wDT(p≤0.0001至0.023)、wRS(p≤0.0001至0.018)和wMS(p≤0.0001)均高于非首发球员。

结论

首发球员在赛季中经历的CW和AW比非首发球员更多,这突出了需要设计针对比赛状态差异的个性化训练计划。

https://cdn.ncbi.nlm.nih.gov/pmc/blobs/2b12/9223007/40c23e9cfb57/healthcare-10-01116-g001.jpg

文献AI研究员

20分钟写一篇综述,助力文献阅读效率提升50倍。

立即体验

用中文搜PubMed

大模型驱动的PubMed中文搜索引擎

马上搜索

文档翻译

学术文献翻译模型,支持多种主流文档格式。

立即体验