Instrumental Analytical Chemistry, Faculty of Chemistry, University of Duisburg-Essen, Universitätsstraße 5, 45141, Essen, Germany.
Centre for Water and Environmental Research, University of Duisburg-Essen, Universitätsstrasse 5, 45141, Essen, Germany.
Anal Bioanal Chem. 2022 Sep;414(22):6473-6483. doi: 10.1007/s00216-022-04204-2. Epub 2022 Jul 19.
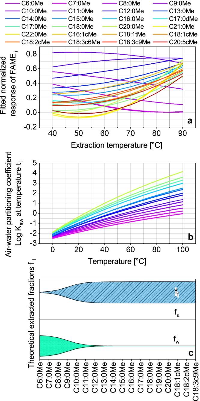
The analysis of fatty acid methyl esters (FAMEs) is of high relevance for monitoring and control of various industrial processes and biological systems. In this study, a novel, green analytical approach for the determination of 24 FAMEs from aqueous samples is proposed, which is based on a headspace solid-phase microextraction (SPME) arrow followed by gas chromatography coupled to tandem mass spectrometry (GC-MS/MS). The method was substantially accelerated to a run time of 44 min per sample by thorough optimization and automation of the relevant parameters. The limiting parameters, mostly based on expediting equilibrium attainment, were found to be parameters of extraction: material, pH, time, and temperature, which were optimized to divinylbenzene polydimethylsiloxane (DVB-PDMS), pH 2, 20 min, and 70 °C, respectively. The optimization and automation of the method led to low method detection limits (9-437 ng L) and high selectivity. Evaluation of the method on real samples was done by analyzing the aqueous phase of a bioreactor, whereby the matrix effect could be greatly reduced due to dilution and headspace sampling. The rapid, sensitive, selective, and matrix-reduced approach is found to be not only a novel method for water analysis but is promising for further applications, e.g., with solid and gaseous samples containing FAMEs.
脂肪酸甲酯(FAME)的分析对于监测和控制各种工业过程和生物系统具有重要意义。在这项研究中,提出了一种新颖的、绿色的分析方法,用于测定水相样品中的 24 种 FAME,该方法基于顶空固相微萃取(SPME)箭头,随后是气相色谱-串联质谱(GC-MS/MS)。通过彻底优化和自动化相关参数,将方法的运行时间从每个样品 44 分钟大大缩短。限制参数主要基于加速平衡的达成,发现是提取的参数:材料、pH 值、时间和温度,分别优化为二乙烯基苯-聚二甲基硅氧烷(DVB-PDMS)、pH 值 2、20 分钟和 70°C。该方法的优化和自动化导致了低的方法检测限(9-437ngL)和高的选择性。通过分析生物反应器的水相来评估该方法在实际样品中的应用,可以由于稀释和顶空采样而大大降低基质效应。该快速、灵敏、选择性和基质减少的方法不仅是一种新颖的水分析方法,而且有望进一步应用于含有 FAME 的固体和气体样品。