Suppr超能文献

基于径向基函数有限差分切平面法求解各向异性演化曲面上对流扩散方程的数值研究

Numerical Study on an RBF-FD Tangent Plane Based Method for Convection-Diffusion Equations on Anisotropic Evolving Surfaces.

作者信息

Adil Nazakat, Xiao Xufeng, Feng Xinlong

机构信息

College of Mathematics and System Sciences, Xinjiang University, Urumqi 830017, China.

出版信息

Entropy (Basel). 2022 Jun 22;24(7):857. doi: 10.3390/e24070857.

Abstract

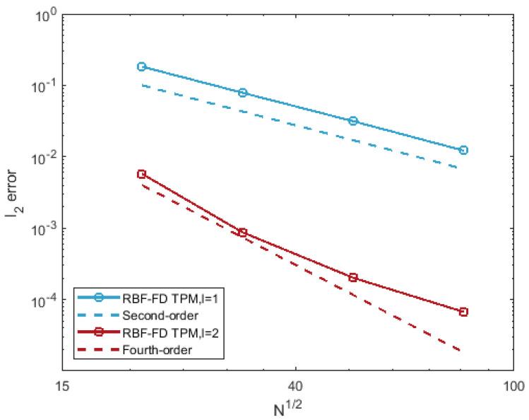
In this paper, we present a fully Lagrangian method based on the radial basis function (RBF) finite difference (FD) method for solving convection-diffusion partial differential equations (PDEs) on evolving surfaces. Surface differential operators are discretized by the tangent plane approach using Gaussian RBFs augmented with two-dimensional (2D) polynomials. The main advantage of our method is the simplicity of calculating differentiation weights. Additionally, we couple the method with anisotropic RBFs (ARBFs) to obtain more accurate numerical solutions for the anisotropic growth of surfaces. In the ARBF interpolation, the Euclidean distance is replaced with a suitable metric that matches the anisotropic surface geometry. Therefore, it will lead to a good result on the aspects of stability and accuracy of the RBF-FD method for this type of problem. The performance of this method is shown for various convection-diffusion equations on evolving surfaces, which include the anisotropic growth of surfaces and growth coupled with the solutions of PDEs.

摘要

在本文中,我们提出了一种基于径向基函数(RBF)有限差分(FD)法的全拉格朗日方法,用于求解演化曲面上的对流扩散偏微分方程(PDE)。曲面微分算子通过切平面方法离散化,该方法使用用二维(2D)多项式增强的高斯径向基函数。我们方法的主要优点是计算微分权重简单。此外,我们将该方法与各向异性径向基函数(ARBF)相结合,以获得曲面各向异性生长的更精确数值解。在各向异性径向基函数插值中,欧几里得距离被与各向异性曲面几何形状匹配的合适度量所取代。因此,对于这类问题,在径向基函数有限差分法的稳定性和准确性方面将产生良好的结果。本文展示了该方法在演化曲面上各种对流扩散方程中的性能,这些方程包括曲面的各向异性生长以及与偏微分方程解耦合的生长。

https://cdn.ncbi.nlm.nih.gov/pmc/blobs/98b7/9324174/907252df1372/entropy-24-00857-g001.jpg

相似文献

4
An Efficient High-Order Meshless Method for Advection-Diffusion Equations on Time-Varying Irregular Domains.
J Comput Phys. 2021 Nov 15;445. doi: 10.1016/j.jcp.2021.110633. Epub 2021 Aug 12.
6
The surface finite element method for pattern formation on evolving biological surfaces.
J Math Biol. 2011 Dec;63(6):1095-119. doi: 10.1007/s00285-011-0401-0. Epub 2011 Jan 28.
7
Numerical solution of the one-dimensional fractional convection diffusion equations based on Chebyshev operational matrix.
Springerplus. 2016 Jul 22;5(1):1149. doi: 10.1186/s40064-016-2832-y. eCollection 2016.
8
A high-resolution fuzzy transform combined compact scheme for 2D nonlinear elliptic partial differential equations.
MethodsX. 2023 Apr 29;10:102206. doi: 10.1016/j.mex.2023.102206. eCollection 2023.

本文引用的文献

2
Exhibiting cross-diffusion-induced patterns for reaction-diffusion systems on evolving domains and surfaces.
Phys Rev E Stat Nonlin Soft Matter Phys. 2014 Oct;90(4):043307. doi: 10.1103/PhysRevE.90.043307. Epub 2014 Oct 31.
3
The surface finite element method for pattern formation on evolving biological surfaces.
J Math Biol. 2011 Dec;63(6):1095-119. doi: 10.1007/s00285-011-0401-0. Epub 2011 Jan 28.

文献AI研究员

20分钟写一篇综述,助力文献阅读效率提升50倍。

立即体验

用中文搜PubMed

大模型驱动的PubMed中文搜索引擎

马上搜索

文档翻译

学术文献翻译模型,支持多种主流文档格式。

立即体验