Suppr超能文献

婴儿猝死综合征的肺部免疫特征:免疫成熟受损和与年龄相关的细胞因子失衡。

Pulmonary immune profiling of SIDS: impaired immune maturation and age-related cytokine imbalance.

机构信息

Institute of Legal Medicine, Hannover Medical School, Hannover, Germany.

Institute of Transplant Immunology, Hannover Medical School, Hannover, Germany.

出版信息

Pediatr Res. 2023 Apr;93(5):1239-1249. doi: 10.1038/s41390-022-02203-8. Epub 2022 Aug 19.

Abstract

BACKGROUND

For sudden infant death syndrome (SIDS), an impaired immunocompetence has been discussed for a long time. Cytokines and chemokines are soluble immune mediators (SIM) whose balance is essential for the immune status. We hypothesized that an imbalanced immune response might contribute to the etiology of SIDS.

METHODS

We investigated 27 cytokines, chemokines, and growth factors in protein lysates of lungs derived from 29 SIDS cases and 15 control children deceased for other reasons.

RESULTS

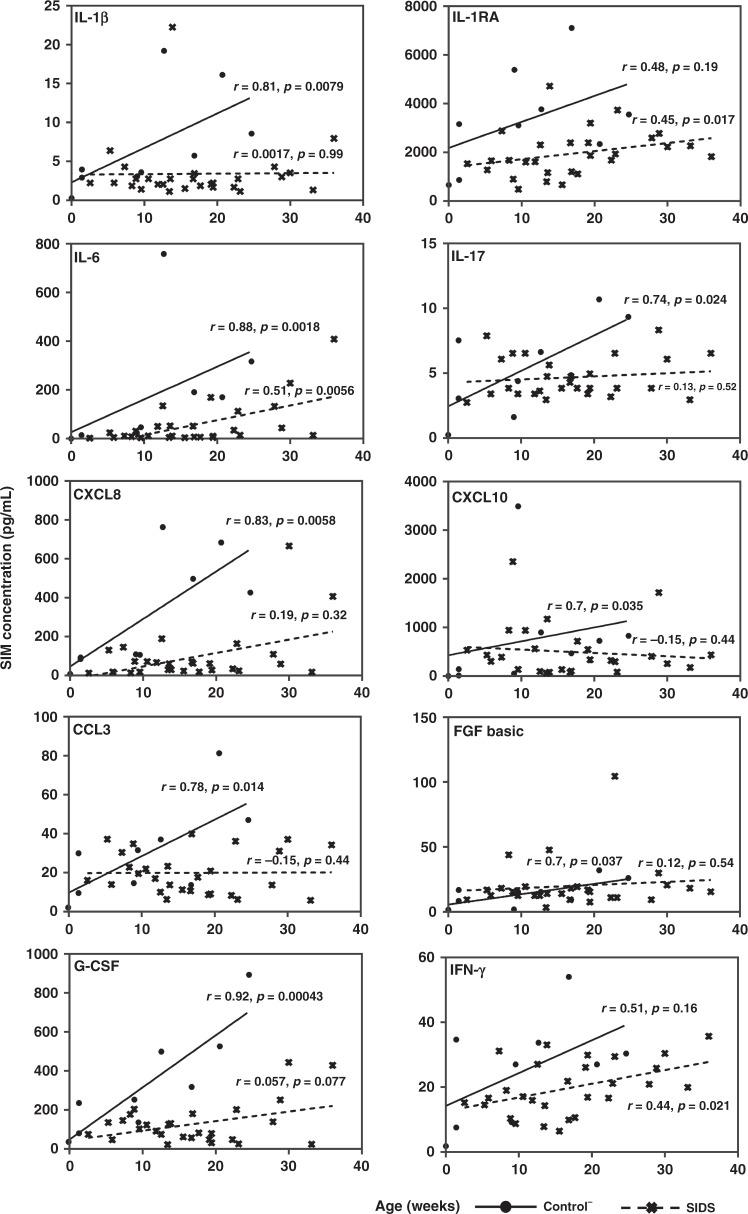
Except for the CCL5, no significant differences were detected in the lungs between SIDS cases with and without mild upper respiratory tract infections. In contrast, IL-1RA, IL-7, IL-13, and G-CSF were decreased in the merged SIDS cases compared to control cases without evidence of infection. Plotting SIM concentrations against infant age resulted in increasing concentrations in control but not in SIDS lungs, indicating a disturbed immune maturation. Moreover, an age-dependent shift towards a Th2-related pattern was observed in SIDS.

CONCLUSIONS

Our findings suggest that an impaired maturation of the immune system, an insufficient response to respiratory pathogens, and an immune response modulated by Th1/Th2 imbalance might play a possible role in triggering SIDS. These findings might in part be explained by chronic stress.

IMPACT

Maturation of the cytokine and chemokine network may be impaired in SIDS. An imbalance between Th1- and Th2-related cytokines, which may reflect a state of chronic stress causing a more Th2 shift. An impaired immune maturation, an insufficient response to respiratory pathogens, and an immune response modulated by Th1/Th2 imbalance might play a possible role in SIDS.

摘要

背景

对于婴儿猝死综合征(SIDS),人们长期以来一直认为其免疫功能受损。细胞因子和趋化因子是可溶性免疫介质(SIM),其平衡对于免疫状态至关重要。我们假设免疫反应失衡可能有助于 SIDS 的病因。

方法

我们研究了 29 例 SIDS 病例和 15 例因其他原因死亡的对照儿童的肺组织蛋白裂解物中的 27 种细胞因子、趋化因子和生长因子。

结果

除 CCL5 外,SIDS 病例中伴有或不伴有轻度上呼吸道感染的肺组织中没有发现明显差异。相比之下,与无感染证据的对照病例相比,合并的 SIDS 病例中 IL-1RA、IL-7、IL-13 和 G-CSF 减少。将 SIM 浓度与婴儿年龄作图,结果显示对照肺组织中浓度增加,而 SIDS 肺组织中浓度没有增加,表明免疫成熟受到干扰。此外,在 SIDS 中观察到一种依赖年龄的向 Th2 相关模式的转变。

结论

我们的研究结果表明,免疫系统的成熟受损、对呼吸道病原体的反应不足以及由 Th1/Th2 失衡调节的免疫反应可能在触发 SIDS 中发挥作用。这些发现部分可能是由慢性应激引起的。

影响

SIDS 中细胞因子和趋化因子网络的成熟可能受损。Th1 和 Th2 相关细胞因子之间的失衡可能反映了一种慢性应激状态,导致 Th2 向更偏向 Th2 方向转变。免疫成熟受损、对呼吸道病原体的反应不足以及由 Th1/Th2 失衡调节的免疫反应可能在 SIDS 中发挥作用。

https://cdn.ncbi.nlm.nih.gov/pmc/blobs/7a21/10132963/b1c919bcc300/41390_2022_2203_Fig1_HTML.jpg

文献AI研究员

20分钟写一篇综述,助力文献阅读效率提升50倍。

立即体验

用中文搜PubMed

大模型驱动的PubMed中文搜索引擎

马上搜索

文档翻译

学术文献翻译模型,支持多种主流文档格式。

立即体验