Kar Armita, Carrel Andre L, Miller Harvey J, Le Huyen T K
Department of Geography, The Ohio State University, Columbus, OH 43210, United States.
Department of Civil, Environmental and Geodetic Engineering, The Ohio State University, Columbus, OH 43210, United States.
Transp Res D Transp Environ. 2022 Sep;110:103435. doi: 10.1016/j.trd.2022.103435. Epub 2022 Aug 18.
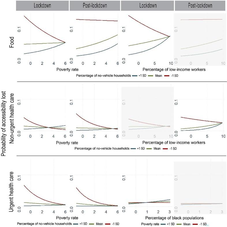
The COVID-19 pandemic has severely impacted public transit services through plummeting ridership during the lockdown and subsequent budget cuts. This study investigates the equity impacts of reductions in accessibility due to transit service cuts during COVID-19 and their association with urban sprawl. We evaluated transit access to food and health care services across 22 US cities in three phases during 2020. We found stark socio-spatial disparities in access to basic services and employment in food and health care. Transit service cuts worsened accessibility for communities with multiple social vulnerabilities, such as neighborhoods with high rates of poverty, low-income workers, and zero-vehicle households, as well as poor neighborhoods with high concentrations of black residents. Moreover, sprawled cities experienced greater access loss during COVID-19 than compact cities. Our results point to policies and interventions to maintain social equity and sustainable urban development while benefiting diverse social groups during disruptions.
新冠疫情通过封锁期间客流量暴跌以及随后的预算削减,对公共交通服务造成了严重影响。本研究调查了新冠疫情期间公交服务削减导致可达性下降的公平性影响及其与城市蔓延的关联。我们在2020年分三个阶段评估了美国22个城市获取食品和医疗服务的公交可达性。我们发现,在获取食品和医疗基本服务及就业机会方面存在明显的社会空间差异。公交服务削减使多重社会脆弱性社区的可达性恶化,比如贫困率高的社区、低收入工人社区、无车家庭社区,以及黑人居民高度集中的贫困社区。此外,与紧凑型城市相比,蔓延型城市在新冠疫情期间的可达性损失更大。我们的研究结果表明了在干扰期间维护社会公平和可持续城市发展同时惠及不同社会群体的政策和干预措施。