Suppr超能文献

新型冠状病毒肺炎对儿童医疗服务利用和疾病动态的影响:来自奥里萨邦西部的一项观察性研究

The Impact of COVID-19 on Pediatric Healthcare Utilization and Disease Dynamics: An Observational Study From Western Odisha.

作者信息

Meher Bijay K, Panda Isha, Mishra Nihar R, Das Leena, Sahu Bhojraj

机构信息

Pediatrics, Sardar Vallabhbhai Patel Post Graduate Institute of Paediatrics, Srirama Chandra Bhanja Medical College and Hospital, Cuttack, IND.

Pediatrics, All India Institute of Medical Sciences, Kalyani, Kolkata, IND.

出版信息

Cureus. 2022 Jul 19;14(7):e27006. doi: 10.7759/cureus.27006. eCollection 2022 Jul.

Abstract

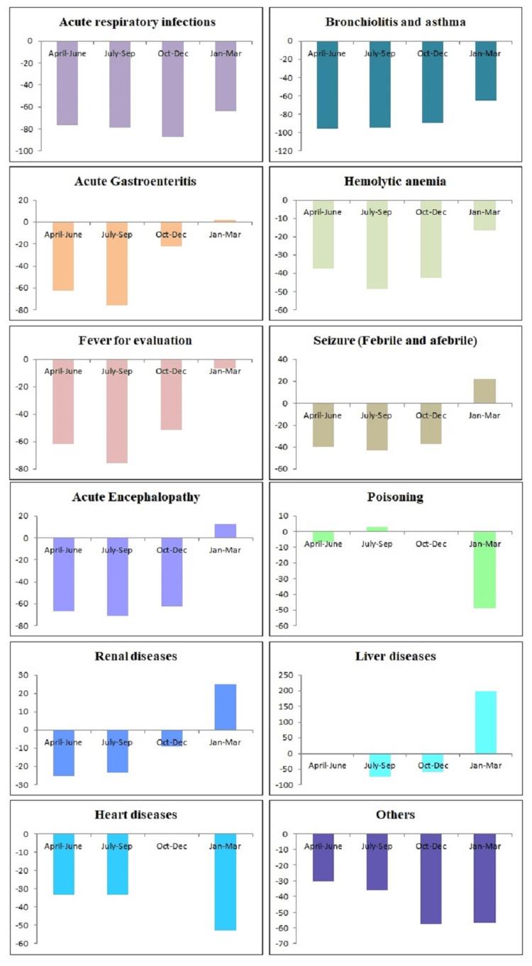
Introduction Children were affected by the severe acute respiratory syndrome coronavirus 2 (SARS-CoV-2) virus during the first and second waves of the coronavirus disease 2019 (COVID-19 pandemic. Although the severity was less in children, the fear of contracting SARS-CoV-2 at the hospital might have led to a delayed health-seeking attitude. The objective of the study was tailored around emergency health care utilization affecting outcomes. The study was done to compare the trend concerning the utilization of pediatric healthcare and immunization services, changes in the profile of diseases, and the outcomes between the pre-COVID-19 period and the COVID-19 period in a tertiary care hospital. Methods This retrospective observational study was conducted in a tertiary care hospital in western Odisha. Data were collected retrospectively from different hospital registers (outpatient register, inpatient register, and immunization records) and analyzed between the pre-COVID-19 period (April 2019 to March 2020) and the COVID-19 period (April 2020 to March 2021) with appropriate statistical procedures. Results There was a 60%, 49.8%, 51.1%, and 25.5% reduction in outpatient attendance, indoor pediatric admissions, nutritional rehabilitation centre admissions, and newborn admissions, respectively in COVID-19 period as compared to the pre-COVID-19 period. The pediatric bed occupancy rate was reduced by 54.5%. Unfavourable outcomes (death, left against medical advice, and referral) were significantly high in hospitalized children (24% vs. 18.1%, p < 0.001). The reduction in hospitalization due to common conditions like acute respiratory tract infections, bronchiolitis and asthma, and acute gastroenteritis during COVID-19 was 76.5%, 86.2%, and 39.5%, respectively. A higher percentage of low birth weight and preterm (<34 weeks) babies were admitted to special neonatal care unit (SNCU) during the pandemic (61.8% vs. 58%, p < 0.05; 18.9% vs. 15.8%; p < 0.05 respectively). Conclusion The COVID-19 pandemic and the associated lockdown led to a significant decrease in pediatric and neonatal healthcare utilization. The impact of lower care-seeking and attendance resulting in poor patient-related outcomes (malnutrition, upsurge of vaccine-preventable diseases, disease-specific hospitalization, and mortality) post-pandemic is a real threat.

摘要

引言 在2019冠状病毒病(COVID-19)大流行的第一波和第二波期间,儿童受到严重急性呼吸综合征冠状病毒2(SARS-CoV-2)病毒的影响。尽管儿童感染后的严重程度较低,但在医院感染SARS-CoV-2的恐惧可能导致了延迟就医的态度。该研究的目的围绕影响结果的紧急医疗保健利用情况展开。本研究旨在比较一家三级护理医院在COVID-19之前和COVID-19期间儿科医疗保健和免疫服务的利用趋势、疾病谱的变化以及结果。

方法 这项回顾性观察研究在奥里萨邦西部的一家三级护理医院进行。数据从不同的医院登记册(门诊登记册、住院登记册和免疫记录)中回顾性收集,并使用适当的统计程序在COVID-19之前(2019年4月至2020年3月)和COVID-19期间(2020年4月至2021年3月)进行分析。

结果 与COVID-19之前相比,COVID-19期间门诊就诊人数、儿科住院人数、营养康复中心住院人数和新生儿住院人数分别减少了60%、49.8%、51.1%和25.5%。儿科床位占用率降低了54.5%。住院儿童的不良结局(死亡、自动出院和转诊)显著增加(24%对18.1%,p<0.001)。COVID-19期间,因急性呼吸道感染、细支气管炎和哮喘以及急性胃肠炎等高发性疾病导致的住院人数分别减少了76.5%、86.2%和39.5%。在大流行期间,更高比例的低出生体重和早产(<34周)婴儿被收治到特殊新生儿护理病房(SNCU)(分别为61.8%对58%,p<0.05;18.9%对15.8%;p<0.05)。

结论 COVID-19大流行及相关封锁导致儿科和新生儿医疗保健利用率显著下降。大流行后就医减少和就诊率降低导致与患者相关的不良后果(营养不良、疫苗可预防疾病激增、特定疾病住院和死亡率)的影响是一个现实威胁。

https://cdn.ncbi.nlm.nih.gov/pmc/blobs/70d3/9390950/4585c34294ce/cureus-0014-00000027006-i01.jpg

文献AI研究员

20分钟写一篇综述,助力文献阅读效率提升50倍。

立即体验

用中文搜PubMed

大模型驱动的PubMed中文搜索引擎

马上搜索

文档翻译

学术文献翻译模型,支持多种主流文档格式。

立即体验