Suppr超能文献

基于力前馈解耦的重载双驱动龙门平台建模与最优同步控制

Modeling Dual-Drive Gantry Stages with Heavy-Load and Optimal Synchronous Controls with Force-Feed-Forward Decoupling.

作者信息

Xie Hanjun, Wang Qinruo

机构信息

Automation College, Guangdong University of Technology, Guangzhou 510000, China.

出版信息

Entropy (Basel). 2022 Aug 19;24(8):1153. doi: 10.3390/e24081153.

Abstract

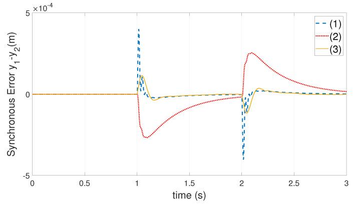
The application of precision dual-drive gantry stages in intelligent manufacturing is increasing. However, the loads of dual drive motors can be severely inconsistent due to the movement of heavy loads on the horizontal crossbeam, resulting in synchronization errors in the same direction movement of dual-drive motors. This phenomenon affects the machining accuracy of the gantry stage and is an critical problem that should be immediately solved. A novel optimal synchronization control algorithm based on model decoupling is proposed to solve the problem. First, an accurate physical model is established to obtain the essential characteristics of the heavy-load dual-drive gantry stage in which the rigid-flexible coupling dynamic is considered. It includes the crossbeam's linear motion and rotational motion of the non-constant moment of inertia. The established model is verified by using the actual system. By defining the virtual centroid of the crossbeam, the cross-coupling force between dual-drive motors is quantified. Then, the virtual-centroid-based Gantry Synchronization Linear Quadratic Regulator (GSLQR) optimal control and force-Feed-Forward (FF) decoupling control algorithm is proposed. The result of the comparative experiment shows the effectiveness and superiority of the proposed algorithm.

摘要

精密双驱动龙门平台在智能制造中的应用日益增加。然而,由于水平横梁上重负载的移动,双驱动电机的负载可能会严重不一致,导致双驱动电机同向运动时出现同步误差。这种现象影响龙门平台的加工精度,是一个亟待解决的关键问题。为解决该问题,提出了一种基于模型解耦的新型最优同步控制算法。首先,建立精确的物理模型,以获得考虑刚柔耦合动力学的重载双驱动龙门平台的基本特性。它包括横梁的直线运动和非恒定转动惯量的旋转运动。利用实际系统对所建立的模型进行验证。通过定义横梁的虚拟质心,量化双驱动电机之间的交叉耦合力。然后,提出了基于虚拟质心的龙门同步线性二次调节器(GSLQR)最优控制和力前馈(FF)解耦控制算法。对比实验结果表明了所提算法的有效性和优越性。

https://cdn.ncbi.nlm.nih.gov/pmc/blobs/7bb3/9407488/0067e2b4a765/entropy-24-01153-g001.jpg

相似文献

3
A Hierarchical Control Strategy for a Rigid-Flexible Coupled Hexapod Bio-Robot.
Biomimetics (Basel). 2023 Nov 21;8(8):561. doi: 10.3390/biomimetics8080561.
4
The Gantry as a Drive for a Horizontal Bike: Initial Investigation of Rotary Work.
Appl Bionics Biomech. 2021 Jan 23;2021:6654377. doi: 10.1155/2021/6654377. eCollection 2021.
5
A novel constrained H optimization algorithm for mechatronics design in flexure-linked biaxial gantry.
ISA Trans. 2017 Nov;71(Pt 2):467-479. doi: 10.1016/j.isatra.2017.08.001. Epub 2017 Aug 18.
7
Synchronization controller design of two coupling permanent magnet synchronous motors system with nonlinear constraints.
ISA Trans. 2015 Nov;59:243-55. doi: 10.1016/j.isatra.2015.08.010. Epub 2015 Sep 4.
9
A robust static decoupling algorithm for 3-axis force sensors based on coupling error model and ε-SVR.
Sensors (Basel). 2012 Oct 29;12(11):14537-55. doi: 10.3390/s121114537.

本文引用的文献

文献AI研究员

20分钟写一篇综述,助力文献阅读效率提升50倍。

立即体验

用中文搜PubMed

大模型驱动的PubMed中文搜索引擎

马上搜索

文档翻译

学术文献翻译模型,支持多种主流文档格式。

立即体验