Suppr超能文献

非酒精性脂肪性肝病/代谢相关脂肪性肝病和肝纤维化的早期诊断潜在筛查指标:甘油三酯葡萄糖指数相关参数。

Potential screening indicators for early diagnosis of NAFLD/MAFLD and liver fibrosis: Triglyceride glucose index-related parameters.

机构信息

Laboratory of Cellular Immunity, Shuguang Hospital, Affiliated to Shanghai University of Traditional Chinese Medicine, Shanghai, China.

Department of Endocrinology, Shuguang Hospital Affiliated to Shanghai University of Traditional Chinese Medicine, Shanghai University of Traditional Chinese Medicine, Shanghai, China.

出版信息

Front Endocrinol (Lausanne). 2022 Sep 2;13:951689. doi: 10.3389/fendo.2022.951689. eCollection 2022.

Abstract

IMPORTANCE

Homeostatic model assessment for insulin resistance (HOMA-IR) and triglyceride glucose (TyG) index-related parameters [TyG index, triglyceride glucose-waist circumference (TyG-WC), triglyceride glucose-waist-to-height ratio (TyG-WHtR), and triglyceride glucose-body mass index (TyG-BMI)] are gradually considered as convenient and alternative indicators for insulin resistance in various metabolic diseases, but the specific diagnostic capacity and the comparison of the parameters in non-alcoholic fatty liver disease (NAFLD), metabolic-associated fatty liver disease (MAFLD), and liver fibrosis remain uncertain.

OBJECTIVE

To comprehensively assess and compare the diagnostic accuracy of the above parameters in NAFLD, MAFLD, and liver fibrosis and identify the appropriate indicators.

METHODS

A total of 1,727 adults were enrolled from the 2017-2018 National Health and Nutrition Examination Surveys. Logistic regressions were used to identify the parameters significantly associated with NAFLD, MAFLD, and liver fibrosis; receiver operating characteristic (ROC) curves were used to evaluate and compare their diagnostic capacity. Subgroup analyses were conducted to validate the concordance, and the optimal cutoff values were determined according to the Youden's indexes.

RESULTS

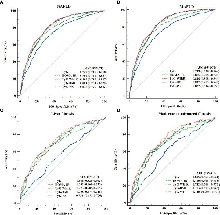
Significant differences were observed between quartile-stratified HOMA-IR and TyG index-related parameters across the NAFLD, MAFLD, and liver fibrosis ( < 0.05). All variables were significantly predictive of different disease states ( < 0.05). The top three AUC values are TyG-WC, TyG-WHtR, and TyG-BMI with AUCs of 0.815, 0.809, and 0.804 in NAFLD. The optimal cutoff values were 822.34, 4.94, and 237.77, respectively. Similar values and the same trend of the above three indexes could be observed in MAFLD and liver fibrosis. Subgroup analyses showed consistent results with the primary research, despite some heterogeneity.

CONCLUSIONS

TyG-WC, TyG-WHtR, and TyG-BMI can be used for early screening of NAFLD and MAFLD. These three parameters and HOMA-IR were more suitable for assessing metabolic risks and monitoring disease progression in patients with NAFLD.

摘要

重要性

稳态模型评估胰岛素抵抗(HOMA-IR)和甘油三酯葡萄糖(TyG)指数相关参数[TyG 指数、甘油三酯葡萄糖腰围(TyG-WC)、甘油三酯葡萄糖身高比(TyG-WHtR)和甘油三酯葡萄糖体重指数(TyG-BMI)]逐渐被认为是各种代谢疾病中胰岛素抵抗的便捷替代指标,但在非酒精性脂肪性肝病(NAFLD)、代谢相关脂肪性肝病(MAFLD)和肝纤维化中的具体诊断能力和参数比较仍不确定。

目的

全面评估和比较上述参数在 NAFLD、MAFLD 和肝纤维化中的诊断准确性,并确定合适的指标。

方法

共纳入 2017-2018 年全国健康与营养调查中的 1727 名成年人。采用 logistic 回归分析鉴定与 NAFLD、MAFLD 和肝纤维化显著相关的参数;采用受试者工作特征(ROC)曲线评估和比较其诊断能力。进行亚组分析以验证一致性,并根据 Youden 指数确定最佳截断值。

结果

在 NAFLD、MAFLD 和肝纤维化中,HOMA-IR 和 TyG 指数相关参数的四分位分层存在显著差异(<0.05)。所有变量对不同疾病状态均具有显著预测性(<0.05)。在 NAFLD 中,AUC 值最高的三个变量分别为 TyG-WC、TyG-WHtR 和 TyG-BMI,其 AUC 值分别为 0.815、0.809 和 0.804。最佳截断值分别为 822.34、4.94 和 237.77。在 MAFLD 和肝纤维化中,也可以观察到这三个指标的相似值和相同趋势。尽管存在一定的异质性,但亚组分析结果与主要研究一致。

结论

TyG-WC、TyG-WHtR 和 TyG-BMI 可用于早期筛查 NAFLD 和 MAFLD。这些三个参数和 HOMA-IR 更适合评估 NAFLD 患者的代谢风险和监测疾病进展。

https://cdn.ncbi.nlm.nih.gov/pmc/blobs/1060/9478620/ba4b0b398770/fendo-13-951689-g001.jpg

文献AI研究员

20分钟写一篇综述,助力文献阅读效率提升50倍。

立即体验

用中文搜PubMed

大模型驱动的PubMed中文搜索引擎

马上搜索

文档翻译

学术文献翻译模型,支持多种主流文档格式。

立即体验