Suppr超能文献

超声在重症监护病房对意识障碍患者颅内病变的预测。

Prediction of intracranial lesions in patients with consciousness disturbance by ultrasonography in the intensive care unit.

机构信息

Emergency and Critical Care Center, Kyushu University Hospital, Japan.

Department of Medicine and Clinical Science, Graduate School of Medical Sciences, Kyushu University, Japan.

出版信息

J Int Med Res. 2022 Sep;50(9):3000605221119358. doi: 10.1177/03000605221119358.

Abstract

OBJECTIVE

This study was performed to evaluate the correlation between parameters measured by bedside ultrasonography and detection of intracranial organic lesions in patients with impaired consciousness in an intensive care unit (ICU) setting.

METHODS

We retrospectively reviewed the medical records of patients who were admitted to our ICU from April 2017 to July 2019. Patients who underwent computed tomography or magnetic resonance imaging examination and measurement of the flow velocity of the carotid and intracranial arteries and the optic nerve sheath diameter by ultrasonography were selected for analysis.

RESULTS

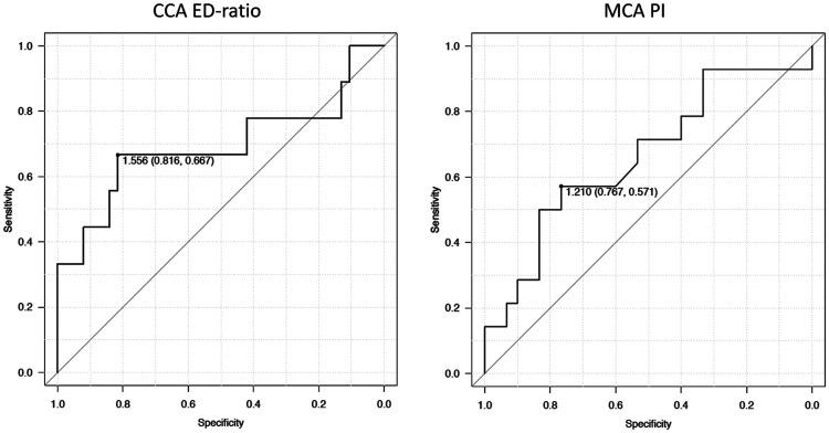
In total, 64 patients were analyzed in this study. Of these, intracranial lesions were detected by computed tomography or magnetic resonance imaging in 17 (27%) patients. The left:right ratio of the end-diastolic velocity of the bilateral common carotid artery (CCA-ED ratio) and the pulsatility index of the middle cerebral artery (MCA-PI) were significantly higher in patients with than in those without intracranial lesions. The cut-off value of the CCA-ED ratio was 1.55 (sensitivity, 66.7%; specificity, 81.6%), and that of the MCA-PI was 1.21 (sensitivity, 57.1%; specificity, 76.7%).

CONCLUSION

Bedside ultrasonography is useful for predicting intracranial lesions requiring therapeutic intervention in ICU patients with impaired consciousness.

摘要

目的

本研究旨在评估在重症监护病房(ICU)环境中,意识障碍患者床边超声测量参数与颅内器质性病变检测之间的相关性。

方法

我们回顾性分析了 2017 年 4 月至 2019 年 7 月期间收入我院 ICU 的患者的病历。选择接受计算机断层扫描或磁共振成像检查以及超声测量颈动脉和颅内动脉流速及视神经鞘直径的患者进行分析。

结果

本研究共分析了 64 例患者。其中,17 例(27%)患者通过计算机断层扫描或磁共振成像检测到颅内病变。颅内病变患者双侧颈总动脉舒张末期流速比值(CCA-ED 比值)和大脑中动脉搏动指数(MCA-PI)左/右侧比值明显高于无脑内病变患者。CCA-ED 比值的截断值为 1.55(敏感性 66.7%,特异性 81.6%),MCA-PI 的截断值为 1.21(敏感性 57.1%,特异性 76.7%)。

结论

床边超声对预测 ICU 意识障碍患者需要治疗干预的颅内病变具有重要价值。

https://cdn.ncbi.nlm.nih.gov/pmc/blobs/9ed6/9500273/ffd057924167/10.1177_03000605221119358-fig1.jpg

文献AI研究员

20分钟写一篇综述,助力文献阅读效率提升50倍。

立即体验

用中文搜PubMed

大模型驱动的PubMed中文搜索引擎

马上搜索

文档翻译

学术文献翻译模型,支持多种主流文档格式。

立即体验