Rompicherla Narayana Charyulu, Joshi Punam, Shetty Amitha, Sudhakar Kalvatala, Amin Hawraz Ibrahim M, Mishra Yachana, Mishra Vijay, Albutti Aqel, Alhumeed Naif
Department of Pharmaceutics, NGSM Institute of Pharmaceutical Sciences, Nitte (Deemed to Be University), Mangaluru 575018, Karnataka, India.
School of Pharmaceutical Sciences, Lovely Professional University, Phagwara 144411, Punjab, India.
Pharmaceutics. 2022 Aug 29;14(9):1812. doi: 10.3390/pharmaceutics14091812.
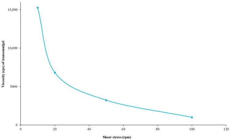
Topical treatments are a potential therapeutic option for the therapy of osteoarthritis, with significant data supporting the effectiveness and safety of topical formulation. Topical gel formulations may offer an alternative to oral formulations to relieve osteoarthritis (OA) pain while decreasing systemic exposure. Topical capsaicin transemulgel may represent an effective and safe alternative. The transemulgel was prepared from aqueous gel and Carbopol 934 with capsaicin in clove oil emulsion. The optimized transemulgel of capsaicin showed a pH of 6.1 ± 0.1 and viscosity of 15263-998 cps. Data from in vitro diffusion demonstrated improved permeability properties. The formulation caused no skin irritation when applied topically. The optimal transemulgel spreadability was found to be 20.23 g·cm/s. In vitro and ex vivo studies of the optimized formulation were performed. The skin irritant test was performed on rat skin with an optimized and marketed formulation. Both showed no irritation on the skin. The transemulgel of the capsaicin with gel was proven to be effective for osteoarthritis therapy.
局部治疗是骨关节炎治疗的一种潜在治疗选择,有大量数据支持局部制剂的有效性和安全性。局部凝胶制剂可能是口服制剂的一种替代选择,可缓解骨关节炎(OA)疼痛,同时减少全身暴露。局部辣椒素透皮凝胶可能是一种有效且安全的替代方案。该透皮凝胶由水性凝胶和卡波姆934与辣椒油乳液中的辣椒素制备而成。优化后的辣椒素透皮凝胶pH值为6.1±0.1,粘度为15263 - 998厘泊。体外扩散数据表明其渗透性有所改善。该制剂局部应用时未引起皮肤刺激。发现最佳透皮凝胶铺展性为20.23 g·cm/s。对优化后的制剂进行了体外和离体研究。用优化后的制剂和市售制剂对大鼠皮肤进行了皮肤刺激性试验。两者均未对皮肤产生刺激。含凝胶的辣椒素透皮凝胶被证明对骨关节炎治疗有效。