Institute of General Surgery, The First Affiliated Hospital of China Medical University, Shenyang 110001, China.
Department of Anorectal Surgery, Institute of General Surgery, The First Hospital of China Medical University, Shenyang 110001, China.
Dis Markers. 2022 Sep 16;2022:4835826. doi: 10.1155/2022/4835826. eCollection 2022.
The unbalance of mitophagy was closely related to hepatocellular carcinoma (HCC) progression. At present, it has not been uncovered about the influence of mitophagy genes on HCC prognosis and their potential pathogenesis.
The expression and clinical information of HCC in TCGA cohort were used to identify mitophagy differentially expressed genes (MDEGs) with prognostic value. The prognostic model of mitophagy genes was built and externally validated by LASSO regression in TCGA cohort and ICGC cohort, respectively. The function of the prognostic signature and its association with immune cell infiltration were explored. The profile of MDEGs was validated with 39 pairs HCC and paracarcinoma tissues by quantitative reverse transcription-PCR (qRT-PCR).
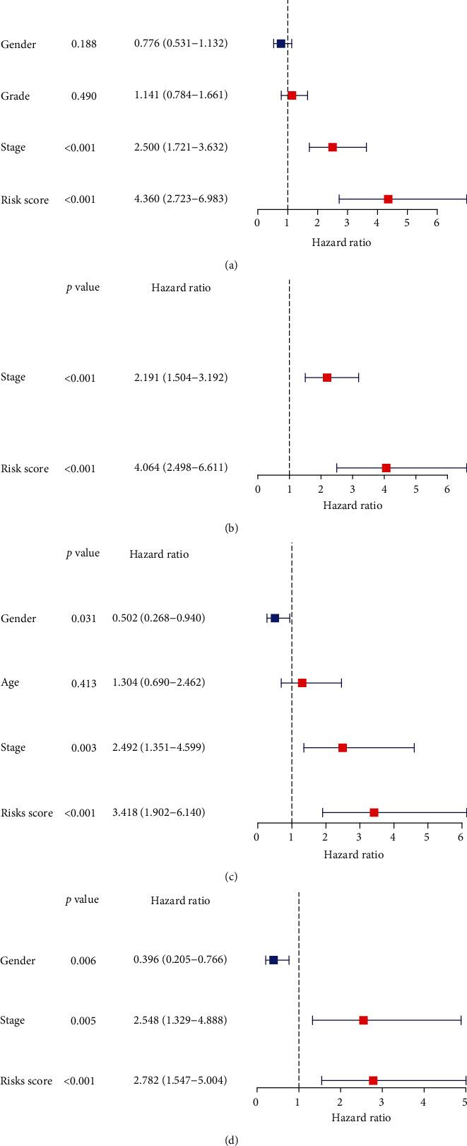
A total of 18 mitophagy genes that were upregulated and contributed to poor prognosis in HCC were identified. These genes could interact with each other. The correlation analysis showed that there was positively correlation among mitophagy genes. According to optimal value, 8 mitophagy gene signatures were involved in prognostic model. Based on median risk scores, HCC patients were divided into high-risk group and low-risk group. Compared with the low-risk group, the high-risk group has worse overall survival in TCGA cohort and ICGC cohort. The univariate and multivariate Cox regression analysis suggested that risk score was an independent prognostic factor of HCC patients. Time-dependent ROC curve was used to identify and validate good predicting performance of the prognostic model. Enrichment analysis showed that risk differentially expressed genes were enriched in various metabolism and cell division processes. The immune cell infiltration score and immune function were significantly different in two groups. qRT-PCR validation result showed that QSTM1, CSNK2B, PGAM5, and ATG5 were upregulated.
Mitophagy genes could influence HCC progression through regulating the metabolism and immune functions and could be used to predict prognosis and considered as potential prognostic biomarker and precise therapeutic target of HCC.
线粒体自噬的失衡与肝细胞癌(HCC)的进展密切相关。目前,关于线粒体自噬基因对 HCC 预后的影响及其潜在发病机制尚未被揭示。
利用 TCGA 队列中的 HCC 表达和临床信息,确定具有预后价值的线粒体自噬差异表达基因(MDEGs)。分别采用 TCGA 队列和 ICGC 队列中的 LASSO 回归构建和外部验证线粒体自噬基因的预后模型。探讨预后特征的功能及其与免疫细胞浸润的关系。采用定量逆转录聚合酶链反应(qRT-PCR)验证 39 对 HCC 和癌旁组织中 MDEGs 的表达谱。
共鉴定出 18 个上调的线粒体自噬基因,这些基因与 HCC 的不良预后有关。这些基因可以相互作用。相关性分析表明线粒体自噬基因之间存在正相关。根据最优 值,8 个线粒体自噬基因特征参与了预后模型。根据中位数风险评分,将 HCC 患者分为高危组和低危组。与低危组相比,高危组在 TCGA 队列和 ICGC 队列中的总生存期更差。单因素和多因素 Cox 回归分析表明,风险评分是 HCC 患者的独立预后因素。时间依赖性 ROC 曲线用于识别和验证预后模型的良好预测性能。富集分析表明,风险差异表达基因富集在各种代谢和细胞分裂过程中。两组之间的免疫细胞浸润评分和免疫功能存在显著差异。qRT-PCR 验证结果表明,QSTM1、CSNK2B、PGAM5 和 ATG5 表达上调。
线粒体自噬基因可以通过调节代谢和免疫功能影响 HCC 的进展,可用于预测预后,并可作为 HCC 潜在的预后生物标志物和精准治疗靶点。