Department of Preclinical medicine, Guizhou University of Traditional Chinese Medicine, Guiyang, China.
Medicine (Baltimore). 2022 Oct 7;101(40):e30942. doi: 10.1097/MD.0000000000030942.
To explore the association between Angiotensin Converting Enzyme (ACE) insert(I)/defect(D) gene polymorphism and the susceptibility to idiopathic pulmonary fibrosis (IPF).
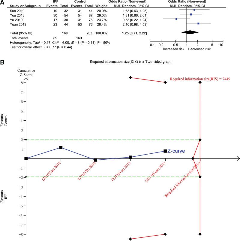
Searching PubMed, EMbase, CENTRAL, MEDLINE, CBM, China National Knowledge Infrastructure, WanFang Database and VIP Chinese Science database through a computer and collect the literature from China and foreign countries published before January 22, 2022. Screen the literatures and extract data such as first author, year of publication, diagnostic criteria and gene frequency, and draw a funnel chart and perform Begg's Test and Egger's test to evaluate publication bias. The influence analysis was performed for heterogeneous results and at the same time, the trial sequential analysis (TSA) was also conducted to confirm the robustness of the meta-analysis results. Registration number: CRD42021259341.
There were a total of 4 literatures (4 studies conducted in the Chinese Han population), and a total of 292 IPF patients and 351 healthy controls were included in this study. The results showed that in the Chinese Han population, the ACE I/D gene polymorphism was associated with the susceptibility of IPF (D vs I: [odds ratio, OR] = 0.53, 95% confidence interval [95%CI] [0.42, 0.67], P < .00001; DD vs II: [OR] = 0.37, 95%CI [0.24, 0.57], P < .00001; DD vs II + ID:[OR] = 0.30, 95%CI [0.21, 0.43], P < .00001), and the angiotensin II (Ang Ⅱ) level of IPF patients was higher than that of the control group (mean difference [MD] = 14.29, 95%CI [11.20,17.37], P < .00001).The TSA also confirmed that D allele was closely related to the susceptibility of IPF.
In the Chinese Han population, the D allele of the ACE I/D gene polymorphism is associated with the susceptibility of IPF.
探讨血管紧张素转换酶(ACE)插入/缺失(I/D)基因多态性与特发性肺纤维化(IPF)易感性的关系。
通过计算机检索 PubMed、EMbase、CENTRAL、MEDLINE、CBM、中国知网、万方数据库和维普中文科技期刊数据库,搜集建库至 2022 年 1 月 22 日国内外发表的关于 ACE I/D 基因多态性与 IPF 易感性的相关文献,筛选文献并提取第一作者、发表年份、诊断标准、基因频率等数据,绘制漏斗图并采用 Begg's 检验和 Egger's 检验进行发表偏倚评估,对异质性结果进行敏感性分析,同时行试验序贯分析(TSA)以确证 Meta 分析结果的稳健性。注册编号:CRD42021259341。
共纳入 4 篇文献(均为中国汉族人群研究),包括 292 例 IPF 患者和 351 例健康对照。结果显示,在中国汉族人群中,ACE I/D 基因多态性与 IPF 的易感性相关(D 等位基因比 I 等位基因:[比值比,OR] = 0.53,95%置信区间 [95%CI] [0.42, 0.67],P < .00001;DD 基因型比 II 基因型:[OR] = 0.37,95%CI [0.24, 0.57],P < .00001;DD 基因型比 II 基因型+ID 基因型:[OR] = 0.30,95%CI [0.21, 0.43],P < .00001),且 IPF 患者的血管紧张素Ⅱ(Ang Ⅱ)水平高于对照组(均数差值 [MD] = 14.29,95%CI [11.20,17.37],P < .00001)。TSA 也进一步确证 D 等位基因与 IPF 的易感性密切相关。
在中国汉族人群中,ACE I/D 基因多态性的 D 等位基因与 IPF 的易感性相关。