Faculty of Medicine and Pharmacy, University of Oradea, P-ta 1 Decembrie 10, 410087 Oradea, Romania.
Medicinal Chemistry Department, Faculty of Pharmacy, Zagazig University, Zagazig 44519, Egypt.
Int J Mol Sci. 2022 Oct 28;23(21):13088. doi: 10.3390/ijms232113088.
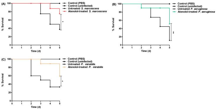
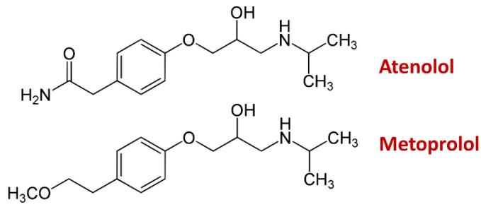
The development of bacterial resistance to antibiotics is an increasing public health issue that worsens with the formation of biofilms. Quorum sensing (QS) orchestrates the bacterial virulence and controls the formation of biofilm. Targeting bacterial virulence is promising approach to overcome the resistance increment to antibiotics. In a previous detailed in silico study, the anti-QS activities of twenty-two β-adrenoreceptor blockers were screened supposing atenolol as a promising candidate. The current study aims to evaluate the anti-QS, anti-biofilm and anti-virulence activities of the β-adrenoreceptor blocker atenolol against Gram-negative bacteria , , and . An in silico study was conducted to evaluate the binding affinity of atenolol to SmaR QS receptor, QscR QS receptor, and MrpH adhesin. The atenolol anti-virulence activity was evaluated against the tested strains in vitro and in vivo. The present finding shows considerable ability of atenolol to compete with QS proteins and significantly downregulated the expression of QS- and virulence-encoding genes. Atenolol showed significant reduction in the tested bacterial biofilm formation, virulence enzyme production, and motility. Furthermore, atenolol significantly diminished the bacterial capacity for killing and protected mice. In conclusion, atenolol has potential anti-QS and anti-virulence activities against , , and and can be used as an adjuvant in treatment of aggressive bacterial infections.
细菌对抗生素的耐药性的发展是一个日益严重的公共卫生问题,而生物膜的形成则使情况恶化。群体感应(QS)协调细菌的毒力并控制生物膜的形成。针对细菌毒力是克服抗生素耐药性增加的有前途的方法。在之前的详细计算机模拟研究中,筛选了二十二种β-肾上腺素受体阻滞剂的抗 QS 活性,假设阿替洛尔是一种有前途的候选药物。本研究旨在评估β-肾上腺素受体阻滞剂阿替洛尔对革兰氏阴性菌 、 、和 的抗 QS、抗生物膜和抗毒力活性。进行了一项计算机模拟研究,以评估阿替洛尔与 SmaR QS 受体、QscR QS 受体和 MrpH 黏附素的结合亲和力。在体外和体内评估了阿替洛尔对测试菌株的抗病毒活性。本研究结果表明,阿替洛尔具有与 QS 蛋白竞争的相当能力,并显著下调了 QS 和毒力编码基因的表达。阿替洛尔显著降低了测试细菌生物膜形成、毒力酶产生和运动能力。此外,阿替洛尔显著降低了细菌的致死能力并保护了小鼠。总之,阿替洛尔对 、 、和 具有潜在的抗 QS 和抗毒力活性,可作为治疗侵袭性细菌感染的辅助药物。