Suppr超能文献

含碳纳米管源层的中厚层合圆锥壳热屈曲问题的解

On the Solution of Thermal Buckling Problem of Moderately Thick Laminated Conical Shells Containing Carbon Nanotube Originating Layers.

作者信息

Avey Mahmure, Fantuzzi Nicholas, Sofiyev Abdullah

机构信息

Division of Mathematical Engineering, Graduate School of Istanbul Technical University, Istanbul 34469, Turkey.

Analytical Information Resources Center, UNEC-Azerbaijan State Economics University, 1001 Baku, Azerbaijan.

出版信息

Materials (Basel). 2022 Oct 23;15(21):7427. doi: 10.3390/ma15217427.

Abstract

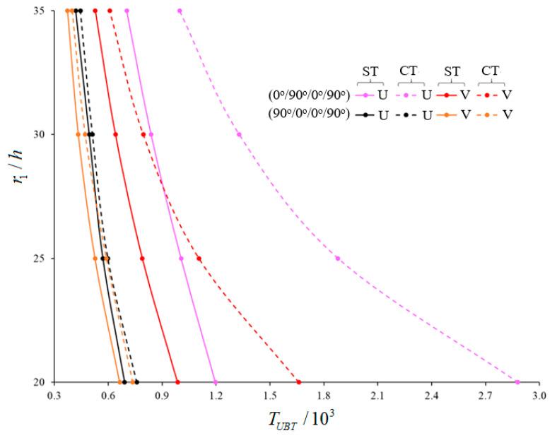
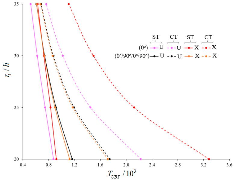
This study presents the solution for the thermal buckling problem of moderately thick laminated conical shells consisting of carbon nanotube (CNT) originating layers. It is assumed that the laminated truncated-conical shell is subjected to uniform temperature rise. The Donnell-type shell theory is used to derive the governing equations, and the Galerkin method is used to find the expression for the buckling temperature in the framework of shear deformation theories (STs). Different transverse shear stress functions, such as the parabolic transverse shear stress (Par-TSS), cosine-hyperbolic shear stress (Cos-Hyp-TSS), and uniform shear stress (U-TSS) functions are used in the analysis part. After validation of the formulation with respect to the existing literature, several parametric studies are carried out to investigate the influences of CNT patterns, number and arrangement of the layers on the uniform buckling temperature (UBT) using various transverse shear stress functions, and classical shell theory (CT).

摘要

本研究提出了由碳纳米管(CNT)源层组成的中等厚度层合圆锥壳热屈曲问题的解决方案。假设层合截头圆锥壳承受均匀温度升高。采用Donnell型壳理论推导控制方程,并采用伽辽金方法在剪切变形理论(STs)框架内求出屈曲温度的表达式。在分析部分使用了不同的横向剪应力函数,如抛物线横向剪应力(Par-TSS)、余弦-双曲剪应力(Cos-Hyp-TSS)和均匀剪应力(U-TSS)函数。在对现有文献进行公式验证后,进行了多项参数研究,以使用各种横向剪应力函数和经典壳理论(CT)研究CNT图案、层数和排列对均匀屈曲温度(UBT)的影响。

https://cdn.ncbi.nlm.nih.gov/pmc/blobs/5204/9655471/2d01f4c5d753/materials-15-07427-g001.jpg

文献AI研究员

20分钟写一篇综述,助力文献阅读效率提升50倍。

立即体验

用中文搜PubMed

大模型驱动的PubMed中文搜索引擎

马上搜索

文档翻译

学术文献翻译模型,支持多种主流文档格式。

立即体验