Gastrointestinal Surgical Unit, The First Affiliated Hospital of Chongqing Medical University, Chongqing, China.
Dis Markers. 2022 Nov 3;2022:2823042. doi: 10.1155/2022/2823042. eCollection 2022.
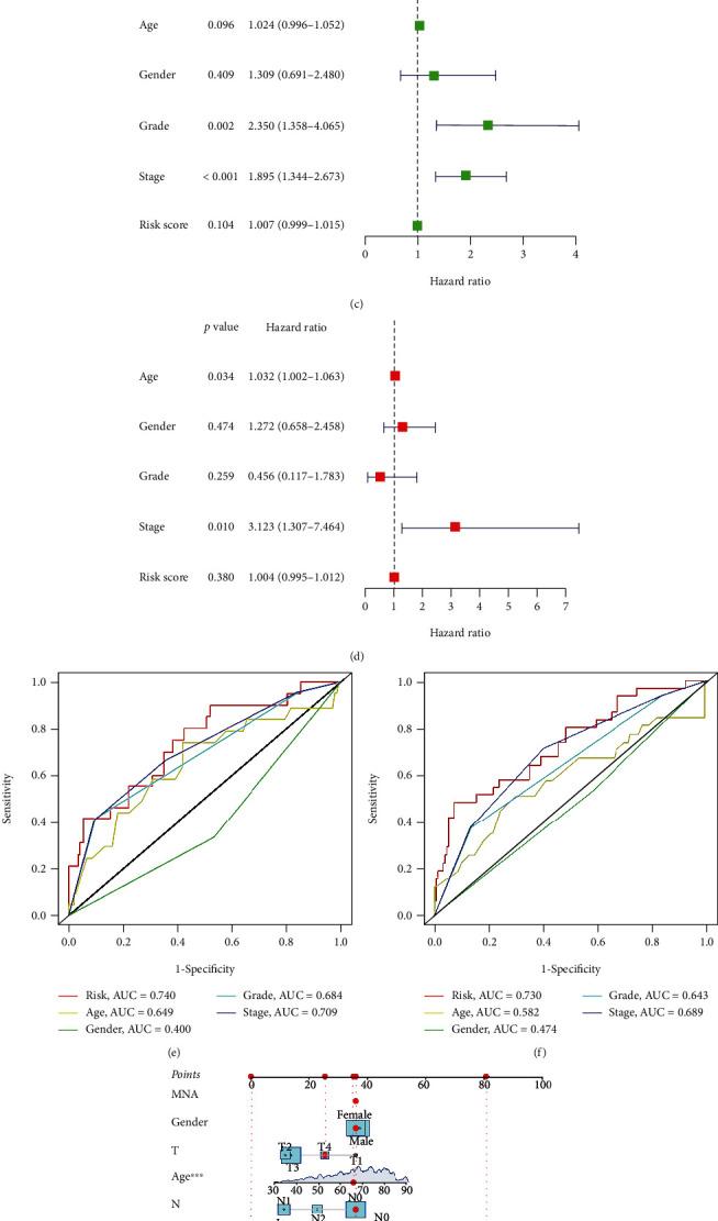
Chemokines have been reported to be involved in tumorigenesis and progression and can also modulate the tumor microenvironment. However, it is still unclear whether chemokine-related long noncoding RNAs (lncRNAs) can affect the prognosis of colon adenocarcinoma (COAD). We summarized chemokine-related genes and downloaded RNA-seq and clinical data from The Cancer Genome Atlas (TCGA) database. A total of 52 prognostic chemokine-related lncRNAs were screened by univariate Cox regression analysis; patients were grouped according to cluster analysis results. Lasso regression analysis was applied to determine chemokine-related lncRNAs to construct a risk model for further research. This study first investigated the differences between the prognosis and immune status of two chemokine-related lncRNAs clusters by consensus clustering. Then, using various algorithms, we obtained ten chemokine-related lncRNAs to construct a new prognostic chemokine-related lncRNAs risk model. The risk model's predictive efficiency, validity, and accuracy were further validated and determined in the test and training cohorts. Furthermore, this risk model played a vital role in predicting immune cell infiltration, immune checkpoint gene expression, tumor mutational burden (TMB), immunotherapy score, and drug sensitivity in COAD patients. These findings elucidated the critical role of novel prognostic chemokine-related lncRNAs in prognosis, immune landscape, and drug therapy, thereby providing valuable insights for prognosis assessment and personalized treatment strategies for COAD patients.
趋化因子被报道参与肿瘤的发生和进展,并且可以调节肿瘤微环境。然而,趋化因子相关的长非编码 RNA(lncRNA)是否能影响结肠腺癌(COAD)的预后仍不清楚。我们总结了趋化因子相关基因,并从癌症基因组图谱(TCGA)数据库下载了 RNA-seq 和临床数据。通过单变量 Cox 回归分析筛选出 52 个预后相关的趋化因子 lncRNA;根据聚类分析结果对患者进行分组。应用 Lasso 回归分析确定趋化因子相关 lncRNA,以构建风险模型进行进一步研究。本研究首次通过共识聚类法研究了两个趋化因子相关 lncRNA 簇在预后和免疫状态方面的差异。然后,我们使用多种算法获得了十个趋化因子相关 lncRNA,构建了一个新的预后相关趋化因子 lncRNA 风险模型。在测试和训练队列中进一步验证和确定了风险模型的预测效率、有效性和准确性。此外,该风险模型在预测 COAD 患者的免疫细胞浸润、免疫检查点基因表达、肿瘤突变负荷(TMB)、免疫治疗评分和药物敏感性方面发挥了重要作用。这些发现阐明了新型预后相关趋化因子 lncRNA 在预后、免疫景观和药物治疗中的关键作用,为 COAD 患者的预后评估和个体化治疗策略提供了有价值的见解。