Pharmaceutical Chemistry Department, Faculty of Pharmacy, Alexandria University, Alexandria, Egypt.
Pharmacy Department, Alnukhba University College, Baghdad, Iraq.
J Enzyme Inhib Med Chem. 2023 Dec;38(1):294-308. doi: 10.1080/14756366.2022.2147164.
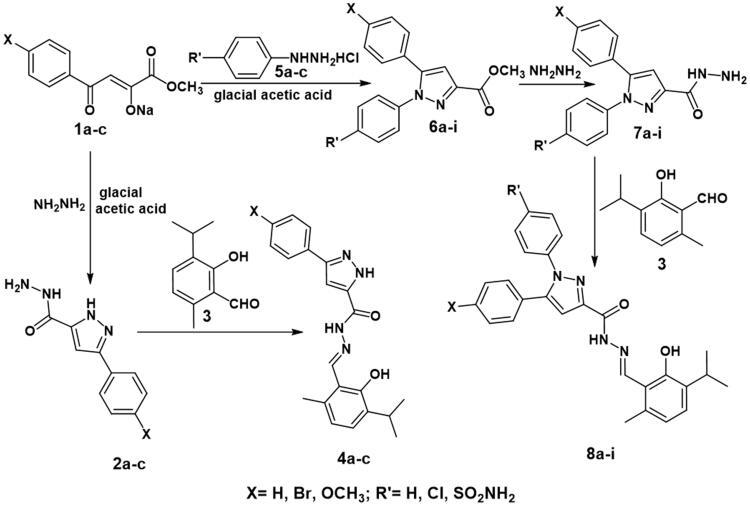
New thymol - 1,5-disubstitutedpyrazole hybrids were synthesised as dual COX-2/5-LOX inhibitors. Compounds , , and displayed inhibitory activity against COX-2 (IC= 0.043, 0.045, 0.063, and 0.068 µM nearly equal to celecoxib (IC= 0.045 µM with high SI (316, 268, 204, and 151, respectively) comparable to celecoxib (327). All target compounds, and , showed 5-LOX inhibitory activity higher than reference quercetin. Besides, they possessed inhibition of formalin-induced paw oedema higher than celecoxib. In addition, compounds and showed superior gastrointestinal safety profile (no ulceration) as celecoxib and diclofenac sodium in the population of fasted rats. In conclusion, compounds , and achieved the target goal. They elicited dual inhibition of COX-2/5-LOX higher than celecoxib and quercetin, potent anti-inflammatory activity higher than celecoxib and superior gastrointestinal safety profile (no ulceration) as celecoxib.
新型百里香酚-1,5-取代吡唑类化合物被合成为双重 COX-2/5-LOX 抑制剂。化合物 、 、 和 对 COX-2 表现出抑制活性(IC=0.043、0.045、0.063 和 0.068μM,几乎与塞来昔布(IC=0.045μM)相当,SI 分别为 316、268、204 和 151,与塞来昔布(327)相当)。所有的目标化合物 、 和 对 5-LOX 的抑制活性均高于参考物槲皮素。此外,它们对甲醛诱导的爪肿胀的抑制作用高于塞来昔布。此外,化合物 和 表现出优于塞来昔布和双氯芬酸钠的胃肠道安全性(无溃疡),在禁食大鼠群体中。总之,化合物 、 和 达到了目标。它们对 COX-2/5-LOX 的双重抑制作用强于塞来昔布和槲皮素,抗炎活性强于塞来昔布,胃肠道安全性(无溃疡)优于塞来昔布。