Department of Engineering, University of Palermo, Viale delle Scienze, Building 9, 90128 Palermo, Italy.
Department of Physiology, Jessenius Faculty of Medicine, Comenius University, 036 01 Martin, Slovakia.
Sensors (Basel). 2022 Nov 25;22(23):9149. doi: 10.3390/s22239149.
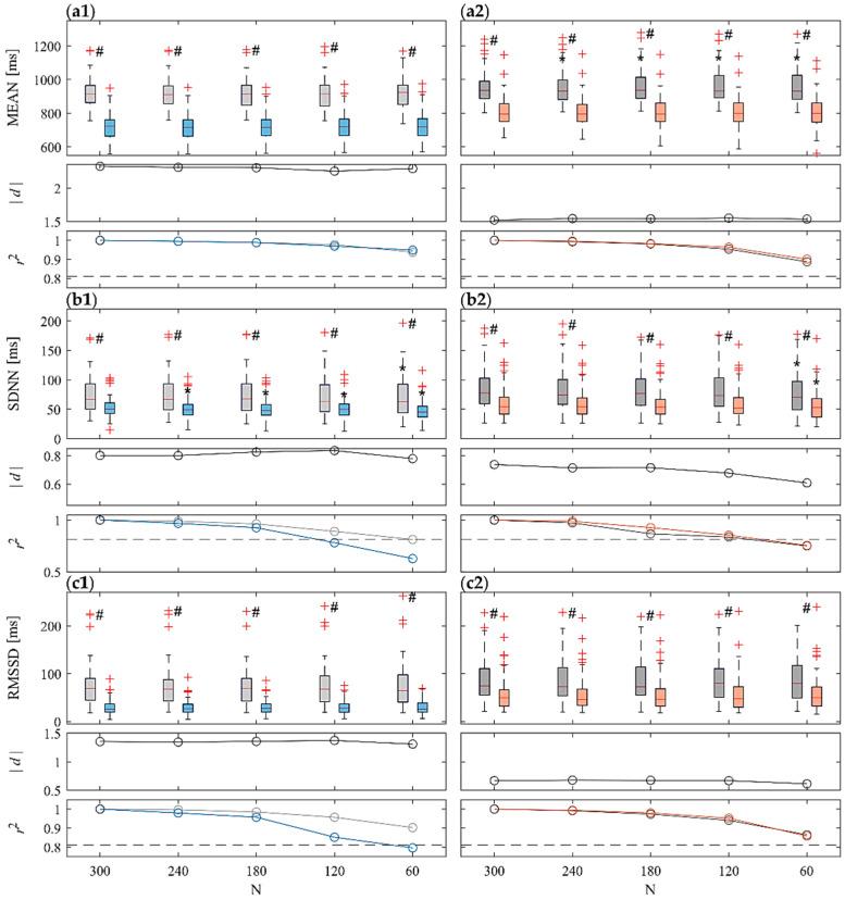
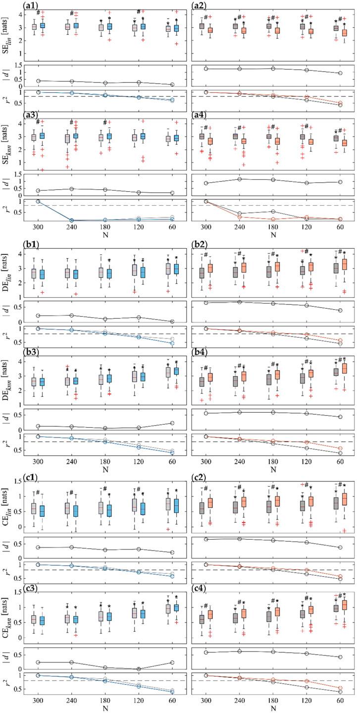
Heart Rate Variability (HRV) and Blood Pressure Variability (BPV) are widely employed tools for characterizing the complex behavior of cardiovascular dynamics. Usually, HRV and BPV analyses are carried out through short-term (ST) measurements, which exploit ~five-minute-long recordings. Recent research efforts are focused on reducing the time series length, assessing whether and to what extent Ultra-Short-Term (UST) analysis is capable of extracting information about cardiovascular variability from very short recordings. In this work, we compare ST and UST measures computed on electrocardiographic R-R intervals and systolic arterial pressure time series obtained at rest and during both postural and mental stress. Standard time-domain indices are computed, together with entropy-based measures able to assess the regularity and complexity of cardiovascular dynamics, on time series lasting down to 60 samples, employing either a faster linear parametric estimator or a more reliable but time-consuming model-free method based on nearest neighbor estimates. Our results are evidence that shorter time series down to 120 samples still exhibit an acceptable agreement with the ST reference and can also be exploited to discriminate between stress and rest. Moreover, despite neglecting nonlinearities inherent to short-term cardiovascular dynamics, the faster linear estimator is still capable of detecting differences among the conditions, thus resulting in its suitability to be implemented on wearable devices.
心率变异性(HRV)和血压变异性(BPV)广泛应用于描述心血管动力学的复杂行为。通常,HRV 和 BPV 的分析是通过短期(ST)测量来进行的,这种测量方法利用大约五分钟的记录。最近的研究重点是减少时间序列的长度,评估超短期(UST)分析是否以及在何种程度上能够从非常短的记录中提取有关心血管变异性的信息。在这项工作中,我们比较了在静息和姿势及精神应激期间获得的心电图 R-R 间期和收缩压时间序列上的 ST 和 UST 测量值。计算了标准的时域指数,以及基于熵的度量,这些度量能够评估心血管动力学的规律性和复杂性,时间序列的长度可以缩短至 60 个样本,使用更快的线性参数估计器或更可靠但耗时的基于最近邻估计的无模型方法。我们的结果表明,缩短至 120 个样本的时间序列仍与 ST 参考具有可接受的一致性,并且也可用于区分应激和休息。此外,尽管线性估计器忽略了短期心血管动力学固有的非线性,但它仍能够检测到不同条件之间的差异,因此适合在可穿戴设备上实现。