Gu Zhongke, Chen Wenxiang, Lu Qian, Dai Jiansong, Hu Shugang, Xu Kai, Geng Yao, Zhu Ye, Xu Boqing, Dai Wenjun, Shen Ying
Department of Sport and Health Sciences, Nanjing Sport Institute, Nanjing, China.
Department of Rehabilitation, Children's Hospital of Nanjing Medical University, Nanjing, China.
Front Cardiovasc Med. 2022 Dec 2;9:1070157. doi: 10.3389/fcvm.2022.1070157. eCollection 2022.
To investigate whether anodal high-definition transcranial current stimulation (HD-tDCS) over the left dorsolateral pre-frontal cortex (DLPFC) could modulate the heart rate (HR) and heart-rate variability (HRV) in healthy young people.
Forty healthy young people were enrolled in this randomized crossover trial. The participants were randomized to receive anodal HD-tDCS (n = 20) or sham HD-tDCS ( = 20) over the left DLPFC with a washout period of 1 week. Electrocardiogram (ECG) data were continuously recorded 20 min before the stimulation, during the session (20 min), and 20 min after the session. HR and the time- and frequency-domain indices of the HRV were measured to investigate the activity of the sympathetic and parasympathetic nervous systems.
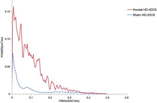
Anodal HD-tDCS over the left DLPFC induced a significant decrease in HR and a significant increase in the average of normal-to-normal intervals (AVG NN), low-frequency (LF) power, total power (TP), and LF/high-frequency (HF) ratio in comparison with the sham stimulation and the baseline. However, sham HD-tDCS over the left DLPFC had no significant effect on HR or HRV.
Anodal HD-tDCS over the left DLPFC could reduce HR and modulate the HRV in healthy young people. HD-tDCS may show some potential for acutely modulating cardiovascular function.
探讨经颅直流电刺激(HD-tDCS)阳极刺激左侧背外侧前额叶皮质(DLPFC)是否能调节健康年轻人的心率(HR)和心率变异性(HRV)。
40名健康年轻人参与了这项随机交叉试验。参与者被随机分配接受左侧DLPFC的阳极HD-tDCS(n = 20)或伪HD-tDCS(n = 20),洗脱期为1周。在刺激前20分钟、刺激期间(20分钟)和刺激后20分钟连续记录心电图(ECG)数据。测量HR以及HRV的时域和频域指标,以研究交感神经和副交感神经系统的活动。
与伪刺激和基线相比,左侧DLPFC的阳极HD-tDCS导致HR显著降低,正常到正常间期平均值(AVG NN)、低频(LF)功率、总功率(TP)和LF/高频(HF)比值显著增加。然而,左侧DLPFC的伪HD-tDCS对HR或HRV没有显著影响。
左侧DLPFC的阳极HD-tDCS可以降低健康年轻人的HR并调节HRV。HD-tDCS可能在急性调节心血管功能方面显示出一定潜力。