Suppr超能文献

瘤胃保护性葡萄糖补充剂改变了初产奶牛早期粪便微生物群及其代谢谱。

Rumen-protected glucose supplementation alters fecal microbiota and its metabolic profiles in early lactation dairy cows.

作者信息

Wang Yapin, Zhao Yiguang, Nan Xuemei, Wang Yue, Cai Meng, Jiang Linshu, Luo Qingyao, Xiong Benhai

机构信息

State Key Laboratory of Animal Nutrition, Institute of Animal Science, Chinese Academy of Agricultural Sciences, Beijing, China.

Beijing Key Laboratory for Dairy Cow Nutrition, Beijing University of Agriculture, Beijing, China.

出版信息

Front Microbiol. 2022 Dec 2;13:1034675. doi: 10.3389/fmicb.2022.1034675. eCollection 2022.

Abstract

INTRODUCTION

Negative energy balance (NEB) is the pathological basis of metabolic disorders in early lactation dairy cows. Rumen-protected glucose (RPG) is a feed additive to relieve NEB of cows in early lactation. The aims of the current study were to evaluate the impact of different doses of RPG supply on fecal microbiota and metabolome in early lactation dairy cows, and their correlation with each other.

METHODS

A total of 24 multiparous Holstein dairy cows in early lactation were randomly assigned to one of four treatments for the first 35 days of the early lactation period, as follows: control group, a basal diet without RPG (CON); low RPG, a basal diet plus 200 g/d RPG (LRPG); medium RPG, a basal diet plus 350 g/d RPG (MRPG); or HRPG, high RPG, a basal diet plus 500 g/d RPG (HRPG). After 35 days, fecal samples were obtained from cows in all groups individually and using 16S rRNA gene sequencing to evaluate their microbiotas, while their metabolites were evaluated through metabolomics.

RESULTS

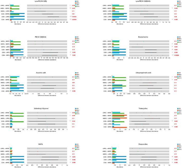
As expected, and were the core bacteria phyla. After RPG supplementation, there were an increase in and a decrease in . MRPG increased the relative abundance of cellulolytic bacteria, including , , , and , while it decreased the relative abundance of , , and . RPG supplementation could regulate the carbohydrate metabolism and amino acid metabolism pathway significantly and relieve lipolysis in dairy cows. Correlation analysis of fecal microbiome and metabolome showed that some major differential bacteria were the crucial contributors to differential metabolites.

CONCLUSION

In conclusion, RPG supplementation can affect the fecal microbial components and microbial metabolism, and 350 g RPG might be the ideal dose as a daily supplement.

摘要

引言

负能量平衡(NEB)是初产泌乳奶牛代谢紊乱的病理基础。瘤胃保护性葡萄糖(RPG)是一种饲料添加剂,可缓解初产泌乳奶牛的负能量平衡。本研究的目的是评估不同剂量的RPG供应对初产泌乳奶牛粪便微生物群和代谢组的影响,以及它们之间的相互关系。

方法

在泌乳早期的前35天,将24头经产荷斯坦泌乳奶牛随机分为四组,如下:对照组,基础日粮不添加RPG(CON);低剂量RPG组,基础日粮加200 g/d RPG(LRPG);中剂量RPG组,基础日粮加350 g/d RPG(MRPG);或高剂量RPG组,基础日粮加500 g/d RPG(HRPG)。35天后,分别从所有组的奶牛采集粪便样本,采用16S rRNA基因测序评估其微生物群,同时通过代谢组学评估其代谢产物。

结果

正如预期的那样,[具体菌门1]和[具体菌门2]是核心细菌门。补充RPG后,[具体菌门1]增加,[具体菌门2]减少。MRPG增加了纤维素分解菌的相对丰度,包括[具体菌属1]、[具体菌属2]、[具体菌属3]和[具体菌属4],同时降低了[具体菌属5]、[具体菌属6]和[具体菌属7]的相对丰度。补充RPG可显著调节奶牛的碳水化合物代谢和氨基酸代谢途径,并缓解脂肪分解。粪便微生物组和代谢组的相关性分析表明,一些主要的差异细菌是差异代谢产物的关键贡献者。

结论

总之,补充RPG可影响粪便微生物组成和微生物代谢,350 g RPG可能是理想的每日补充剂量。

https://cdn.ncbi.nlm.nih.gov/pmc/blobs/4b98/9755595/39d62edd68da/fmicb-13-1034675-g001.jpg

文献AI研究员

20分钟写一篇综述,助力文献阅读效率提升50倍。

立即体验

用中文搜PubMed

大模型驱动的PubMed中文搜索引擎

马上搜索

文档翻译

学术文献翻译模型,支持多种主流文档格式。

立即体验