Suppr超能文献

芦丁和仙人掌果叶提取物作为磷酸工业中钢的绿色缓蚀剂。

Fenugreek seed and cape gooseberry leaf extracts as green corrosion inhibitors for steel in the phosphoric acid industry.

机构信息

Chemistry Department, Faculty of Science, Alexandria University, Alexandria, Egypt.

出版信息

Sci Rep. 2022 Dec 23;12(1):22251. doi: 10.1038/s41598-022-26757-z.

Abstract

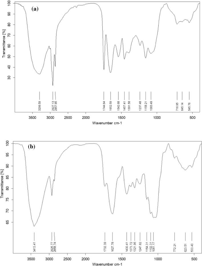
Phosphoric acid is the core material for the fertilizer industry; however, it is incredibly corrosive to manufacturing plants' structures, mainly steel. Corrosion is one of the most severe problems encountered during phosphate fertilizer manufacturing. Recently, plant extracts have been commonly used as corrosion inhibitors because they are cheap and environmentally friendly. Steel corrosion in a 20% aqueous phosphoric acid solution in the absence and presence of fenugreek seed (Fen) or cape gooseberry leaf (CgL) extracts was investigated using the electrochemical impedance spectroscopy technique, potentiodynamic polarization measurement, scanning electron microscope, and quantum chemical calculations. Fourier Transform Infrared, FTIR, was used to identify the functional groups in Fen and CgL extracts. The inhibition efficiency for steel in 20% aqueous phosphoric acid was roughly equal to 80% for 0.4 g/L CgL and 1.2 g/L Fen extracts. A scanning electron microscope showed that the chemical constituents of extracts block the surface roughness of steel, decreasing the corrosion rate. The activation parameters indicated the effectiveness of the extracts at a higher temperature. Measurements of the potential of zero charges showed that the steel surface is positively charged in the phosphoric acid solution. Quantum chemical computations were also employed to examine the corrosion inhibition mechanisms of the natural extracts.

摘要

磷酸是化肥工业的核心材料;然而,它对制造工厂的结构,主要是钢,具有极强的腐蚀性。腐蚀是磷酸肥料制造过程中遇到的最严重问题之一。最近,植物提取物由于其廉价和环保而被广泛用作缓蚀剂。采用电化学阻抗谱技术、动电位极化测量、扫描电子显微镜和量子化学计算研究了在 20%磷酸水溶液中有无葫芦巴种子(Fen)或仙人掌叶(CgL)提取物时钢的腐蚀情况。傅里叶变换红外光谱(FTIR)用于鉴定 Fen 和 CgL 提取物中的官能团。在 20%磷酸水溶液中,0.4g/L CgL 和 1.2g/L Fen 提取物对钢的缓蚀效率约为 80%。扫描电子显微镜显示,提取物的化学成分阻止了钢表面的粗糙度,降低了腐蚀速率。活化参数表明,在较高温度下,提取物的效果更好。零电荷电位测量表明,钢表面在磷酸溶液中带正电荷。还采用量子化学计算研究了天然提取物的腐蚀抑制机制。

https://cdn.ncbi.nlm.nih.gov/pmc/blobs/1262/9789128/d4e668bfee94/41598_2022_26757_Fig1_HTML.jpg

文献AI研究员

20分钟写一篇综述,助力文献阅读效率提升50倍。

立即体验

用中文搜PubMed

大模型驱动的PubMed中文搜索引擎

马上搜索

文档翻译

学术文献翻译模型,支持多种主流文档格式。

立即体验