Suppr超能文献

宏观复合压电(MFC)能量收集器中用于单频和多频激励的高级振动、非线性及高次谐波

High-Level Vibration for Single-Frequency and Multi-Frequency Excitation in Macro-Composite Piezoelectric (MFC) Energy Harvesters, Nonlinearity, and Higher Harmonics.

作者信息

Khazaee Majid

机构信息

Department of AAU Energy, Aalborg University, Pontopidanstraede 111, 9220 Aalborg, Denmark.

School of Biomedical Engineering, Faculty of Engineering, The University of Sydney, NSW 2000, Australia.

出版信息

Micromachines (Basel). 2022 Dec 20;14(1):1. doi: 10.3390/mi14010001.

Abstract

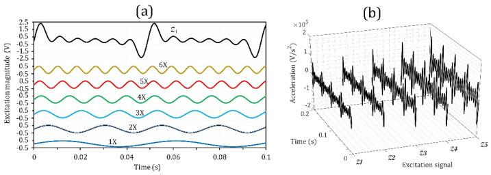
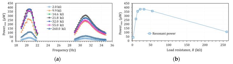
This paper presents an extensive experimental investigation to identify the influence of signal parameters on a piezoelectric harvester's performance. A macro-fibre composite energy harvester was studied as an advanced, flexible, high-performance energy material. Gaussian white noise, and single-frequency and multi-frequency excitation were used to investigate nonlinearity and multiple-frequency interactions. Using single low and high frequencies, we identified the nonlinearity of the harvester's vibration. Multi-frequency excitation with a series of low-to-high-frequency harmonics mimicked the practical vibration signal. Under such multi-frequency excitation, the harvester's nonlinear behaviour was studied. Finally, the interaction effects among multiple frequencies were identified. The results show that under pure resonant excitation, high-level vibration led to high-level mechanical strain, which caused nonlinear vibration behaviour. Moreover, it was shown that the different harmonics excited the various structure bending modes, which caused the nonlinearity of multi-frequency excitation. The first four harmonics of the real-time signal were important. The experimental results emphasise the resonant nonlinearity and interactions of multi-frequency excitation effects.

摘要

本文进行了广泛的实验研究,以确定信号参数对压电能量采集器性能的影响。研究了一种宏观纤维复合能量采集器,它是一种先进的、柔性的、高性能的能量材料。使用高斯白噪声、单频和多频激励来研究非线性和多频相互作用。利用单个低频和高频,我们确定了采集器振动的非线性。一系列从低频到高频谐波的多频激励模拟了实际振动信号。在这种多频激励下,研究了采集器的非线性行为。最后,确定了多个频率之间的相互作用效应。结果表明,在纯共振激励下,高水平振动导致高水平机械应变,从而引起非线性振动行为。此外,结果表明不同谐波激发了各种结构弯曲模式,这导致了多频激励的非线性。实时信号的前四个谐波很重要。实验结果强调了共振非线性和多频激励效应的相互作用。

https://cdn.ncbi.nlm.nih.gov/pmc/blobs/d14b/9867476/f03b0900758e/micromachines-14-00001-g001.jpg

文献AI研究员

20分钟写一篇综述,助力文献阅读效率提升50倍。

立即体验

用中文搜PubMed

大模型驱动的PubMed中文搜索引擎

马上搜索

文档翻译

学术文献翻译模型,支持多种主流文档格式。

立即体验