Zang Jie, Cambet Yves, Jaquet Vincent, Bach Anders
Department of Drug Design and Pharmacology, Faculty of Health and Medical Sciences, University of Copenhagen, Copenhagen, Denmark.
READS Unit, Centre Médical Universitaire, University of Geneva, Geneva, Switzerland.
Front Pharmacol. 2023 Jan 5;13:1075328. doi: 10.3389/fphar.2022.1075328. eCollection 2022.
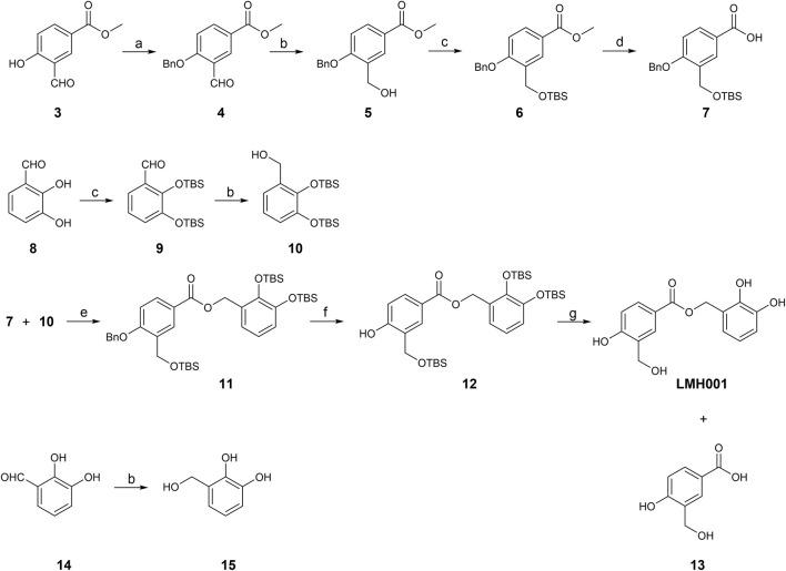
The nicotinamide adenine dinucleotide phosphate oxidase 2 (NOX2) multi-subunit complex is a highly abundant and central source of reactive oxygen species. NOX2 is a key enzyme of the innate immune system involved in antibacterial response, but excessive NOX2 activity is involved in oxidative stress and inflammation in many diseases. Inhibition of NOX2 has great potential as a therapeutic strategy. An intriguing pharmacological approach for inhibiting NOX2 is to target the p47phox subunit and thereby block the protein-protein interaction with p22phox, whereby assembling and activation of NOX2 is prevented. However, the shallow binding pocket of p47phox makes it difficult to develop drug-like p47phox/p22phox inhibitors. Recently, the small molecule LMH001 was reported to inhibit the p47phox/p22phox interaction, reduce endothelial NOX2 activity, and protect mice from angiotensin II-induced vascular oxidative stress. These noteworthy results could have significant impact on the field of NOX2 pharmacology, as specific and efficient inhibitors are scarce. Here, we synthesized and tested LMH001 to have it available as a positive control. We established a robust synthetic route for providing LMH001, but subsequently we experienced that LMH001 is chemically unstable in aqueous buffer. In addition, neither LMH001 nor its breakdown products were able to inhibit the p47phox/p22phox interaction in a non-cellular fluorescence polarization assay. However, LHM001 was a weak inhibitor of NOX2 in a functional cell assay, but with same low potency as one of its breakdown products. These findings question the activity and suggested mechanism of LMH001 and constitute important information for other researchers interested in chemical probes for studying NOX2 biology.
烟酰胺腺嘌呤二核苷酸磷酸氧化酶2(NOX2)多亚基复合物是活性氧的一个高度丰富的主要来源。NOX2是先天免疫系统中参与抗菌反应的关键酶,但在许多疾病中,NOX2的过度活性与氧化应激和炎症有关。抑制NOX2作为一种治疗策略具有很大潜力。一种用于抑制NOX2的有趣药理学方法是靶向p47phox亚基,从而阻断其与p22phox的蛋白质-蛋白质相互作用,进而防止NOX2的组装和激活。然而,p47phox的结合口袋较浅,使得开发类似药物的p47phox/p22phox抑制剂变得困难。最近,据报道小分子LMH001可抑制p47phox/p22phox相互作用,降低内皮细胞NOX2活性,并保护小鼠免受血管紧张素II诱导的血管氧化应激。由于特异性和高效的抑制剂稀缺,这些值得注意的结果可能会对NOX2药理学领域产生重大影响。在此,我们合成并测试了LMH001,以便将其用作阳性对照。我们建立了一条稳健的合成路线来提供LMH001,但随后我们发现LMH001在水性缓冲液中化学不稳定。此外,在非细胞荧光偏振试验中,LMH001及其分解产物均不能抑制p47phox/p22phox相互作用。然而,在功能性细胞试验中,LHM001是NOX2的弱抑制剂,但其效力与其中一种分解产物相同。这些发现对LMH001的活性和所提出的机制提出了质疑,并为其他对研究NOX2生物学的化学探针感兴趣的研究人员提供了重要信息。