Suppr超能文献

当混杂因素存在缺失数据时,采用多次插补后的倾向评分匹配。

Propensity score matching after multiple imputation when a confounder has missing data.

机构信息

Department of Medical Statistics, London School of Hygiene and Tropical Medicine, London, UK.

Université Paris-Cité, Centre of Epidemiology and Statistics (CRESS) Inserm, Paris, France.

出版信息

Stat Med. 2023 Mar 30;42(7):1082-1095. doi: 10.1002/sim.9658. Epub 2023 Jan 25.

Abstract

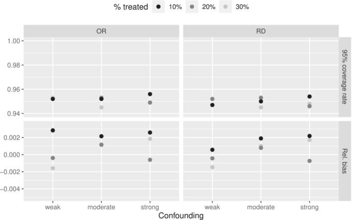
One of the main challenges when using observational data for causal inference is the presence of confounding. A classic approach to account for confounding is the use of propensity score techniques that provide consistent estimators of the causal treatment effect under four common identifiability assumptions for causal effects, including that of no unmeasured confounding. Propensity score matching is a very popular approach which, in its simplest form, involves matching each treated patient to an untreated patient with a similar estimated propensity score, that is, probability of receiving the treatment. The treatment effect can then be estimated by comparing treated and untreated patients within the matched dataset. When missing data arises, a popular approach is to apply multiple imputation to handle the missingness. The combination of propensity score matching and multiple imputation is increasingly applied in practice. However, in this article we demonstrate that combining multiple imputation and propensity score matching can lead to over-coverage of the confidence interval for the treatment effect estimate. We explore the cause of this over-coverage and we evaluate, in this context, the performance of a correction to Rubin's rules for multiple imputation proposed by finding that this correction removes the over-coverage.

摘要

当使用观察数据进行因果推断时,主要的挑战之一是存在混杂。一种经典的处理混杂的方法是使用倾向评分技术,该技术在因果效应的四个常见可识别性假设下提供因果处理效应的一致估计,包括不存在未测量的混杂。倾向评分匹配是一种非常流行的方法,其最简单的形式涉及将每个接受治疗的患者与具有相似估计倾向评分的未接受治疗的患者进行匹配,即接受治疗的概率。然后可以通过比较匹配数据集中的接受治疗和未接受治疗的患者来估计治疗效果。当出现缺失数据时,一种流行的方法是应用多重插补来处理缺失。倾向评分匹配和多重插补的组合在实践中越来越多地应用。然而,在本文中,我们证明了将多重插补和倾向评分匹配结合起来会导致治疗效果估计的置信区间过度覆盖。我们探讨了这种过度覆盖的原因,并在此背景下评估了 Rubin 规则针对多重插补的一个修正的性能,发现该修正消除了过度覆盖。

https://cdn.ncbi.nlm.nih.gov/pmc/blobs/cb5f/10946973/897e55acf311/SIM-42-1082-g003.jpg

文献AI研究员

20分钟写一篇综述,助力文献阅读效率提升50倍。

立即体验

用中文搜PubMed

大模型驱动的PubMed中文搜索引擎

马上搜索

文档翻译

学术文献翻译模型,支持多种主流文档格式。

立即体验