Suppr超能文献

通过L-苏氨酸3-脱氢酶和2-氨基-3-酮丁酸辅酶A连接酶/L-苏氨酸醛缩酶化学酶法合成3-乙基-2,5-二甲基吡嗪。

Chemoenzymatic synthesis of 3-ethyl-2,5-dimethylpyrazine by L-threonine 3-dehydrogenase and 2-amino-3-ketobutyrate CoA ligase/L-threonine aldolase.

作者信息

Motoyama Tomoharu, Nakano Shogo, Hasebe Fumihito, Miyata Ryo, Kumazawa Shigenori, Miyoshi Noriyuki, Ito Sohei

机构信息

Graduate School of Integrated Pharmaceutical and Nutritional Sciences, University of Shizuoka, Shizuoka, Japan.

PREST, Japan Science and Technology Agency, Tokyo, Japan.

出版信息

Commun Chem. 2021 Jul 16;4(1):108. doi: 10.1038/s42004-021-00545-8.

Abstract

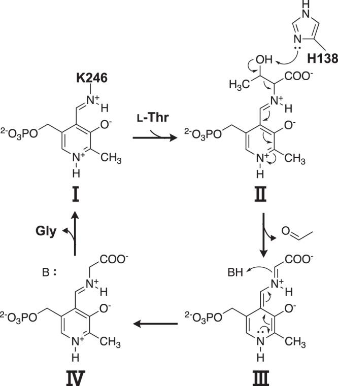
Pyrazines are typically formed from amino acids and sugars in chemical reactions such as the Maillard reaction. In this study, we demonstrate that 3-ethyl-2,5-dimethylpyrazine can be produced from L-Thr by a simple bacterial operon. We conclude that EDMP is synthesized chemoenzymatically from L-Thr via the condensation reaction of two molecules of aminoacetone and one molecule of acetaldehyde. Aminoacetone is supplied by L-threonine 3-dehydrogenase using L-Thr as a substrate via 2-amino-3-ketobutyrate. Acetaldehyde is supplied by 2-amino-3-ketobutyrate CoA ligase bearing threonine aldolase activity from L-Thr when CoA was at low concentrations. Considering the rate of EDMP production, the reaction intermediate is stable for a certain time, and moderate reaction temperature is important for the synthesis of EDMP. When the precursor was supplied from L-Thr by these enzymes, the yield of EDMP was increased up to 20.2%. Furthermore, we demonstrate that this reaction is useful for synthesizing various alkylpyrazines.

摘要

吡嗪通常在诸如美拉德反应等化学反应中由氨基酸和糖类形成。在本研究中,我们证明3-乙基-2,5-二甲基吡嗪可通过一个简单的细菌操纵子由L-苏氨酸产生。我们得出结论,EDMP是由L-苏氨酸通过两分子氨基丙酮和一分子乙醛的缩合反应化学酶法合成的。氨基丙酮由L-苏氨酸3-脱氢酶以L-苏氨酸为底物经2-氨基-3-酮丁酸提供。当辅酶A浓度较低时,乙醛由具有苏氨酸醛缩酶活性的2-氨基-3-酮丁酸辅酶A连接酶从L-苏氨酸提供。考虑到EDMP的产生速率,反应中间体在一定时间内是稳定的,适度的反应温度对EDMP的合成很重要。当这些酶从L-苏氨酸提供前体时,EDMP的产量提高到了20.2%。此外,我们证明该反应可用于合成各种烷基吡嗪。

https://cdn.ncbi.nlm.nih.gov/pmc/blobs/4d18/9814548/5cdf37eba354/42004_2021_545_Fig1_HTML.jpg

文献AI研究员

20分钟写一篇综述,助力文献阅读效率提升50倍。

立即体验

用中文搜PubMed

大模型驱动的PubMed中文搜索引擎

马上搜索

文档翻译

学术文献翻译模型,支持多种主流文档格式。

立即体验